电脑桌面
添加小米粒文库到电脑桌面
安装后可以在桌面快捷访问

高三数学通项 前n项和计算人教版知识精讲VIP免费

高三数学通项  前n项和计算人教版知识精讲_第1页
1/5
高三数学通项  前n项和计算人教版知识精讲_第2页
2/5
高三数学通项  前n项和计算人教版知识精讲_第3页
3/5
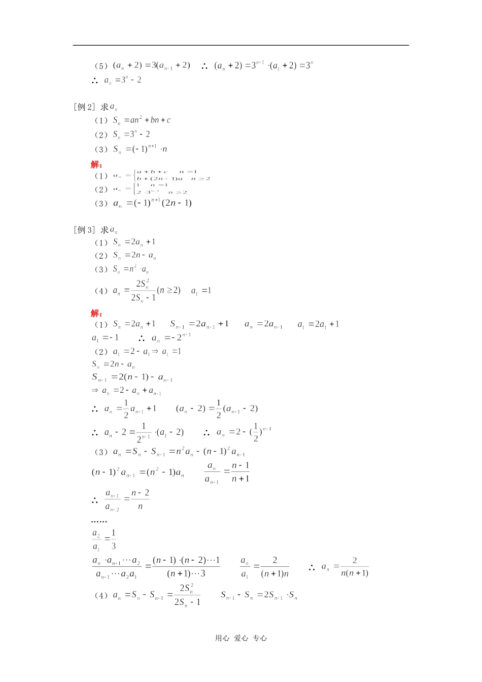
高三数学通项前n项和计算人教版【同步教育信息】一.本周教学内容:通项前n项和计算二.重点、难点:1.求(1)由、,求(2)由,求(3)由、,求2.求(1)公式法(2)列项法(3)错位相减法【典型例题】[例1]求(1)(2)(3)(4)(5)解:(1)等差数列∴(2)……叠加:(3)等比数列∴(4)……相乘:用心爱心专心(5)∴∴[例2]求(1)(2)(3)解:(1)(2)(3)[例3]求(1)(2)(3)(4)解:(1)∴(2)∴∴∴(3)∴……∴(4)用心爱心专心∴∴或AP首位∴∴()∴[例4]求和(1)(2)(3)(4)(5)(6)(1)(2),…∴(3)∴(4)(5)(6)用心爱心专心∴【模拟试题】(答题时间:40分钟)一.选择题:1.若满足且,则等于()A.B.C.D.2.若数列由,确定,则的值是()A.9900B.9902C.9904D.101003.数列的前项和为()A.B.C.D.4.数列1,(1+2),,…,,…的前项和等于()A.B.C.D.5.的值为()A.B.C.D.二.计算题:1.,,求2.(),求3.求和?4.求数列1,,,……,的前项和。用心爱心专心试题答案一.1.B2.B3.A4.C5.C二.1.∴2.解:∴∴∴成等比数列∵∴3.(1)(2)∴4.(1)(2)相减:∴用心爱心专心

1、当您付费下载文档后,您只拥有了使用权限,并不意味着购买了版权,文档只能用于自身使用,不得用于其他商业用途(如 [转卖]进行直接盈利或[编辑后售卖]进行间接盈利)。
2、本站所有内容均由合作方或网友上传,本站不对文档的完整性、权威性及其观点立场正确性做任何保证或承诺!文档内容仅供研究参考,付费前请自行鉴别。
3、如文档内容存在违规,或者侵犯商业秘密、侵犯著作权等,请点击“违规举报”。

碎片内容

高三数学通项 前n项和计算人教版知识精讲

您可能关注的文档

慧源书店+ 关注
实名认证
内容提供者

从事历史教学,热爱教育,高度负责。

确认删除?
VIP
微信客服
  • 扫码咨询
会员Q群
  • 会员专属群点击这里加入QQ群
客服邮箱
回到顶部