电脑桌面
添加小米粒文库到电脑桌面
安装后可以在桌面快捷访问

高三数学纠错练习(5)VIP免费

高三数学纠错练习(5)_第1页
1/3
高三数学纠错练习(5)_第2页
2/3
高三数学纠错练习(5)_第3页
3/3
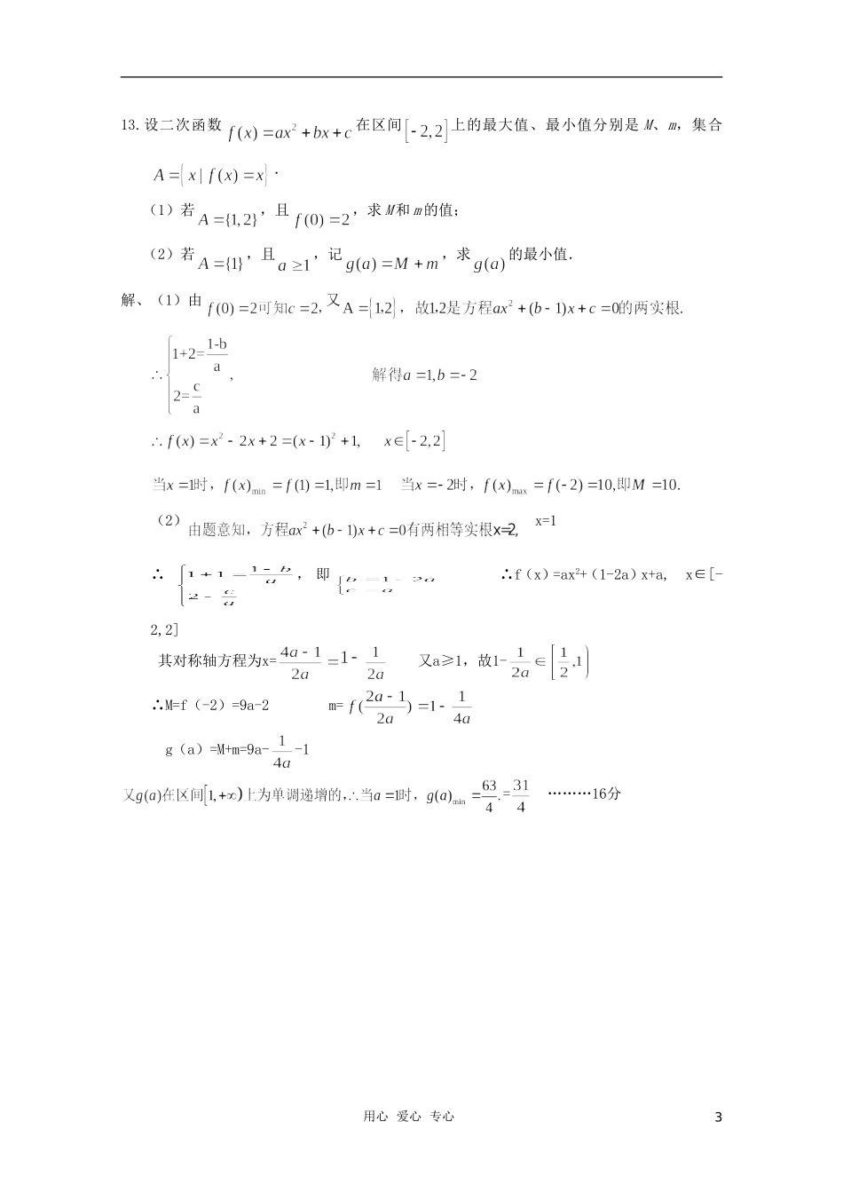
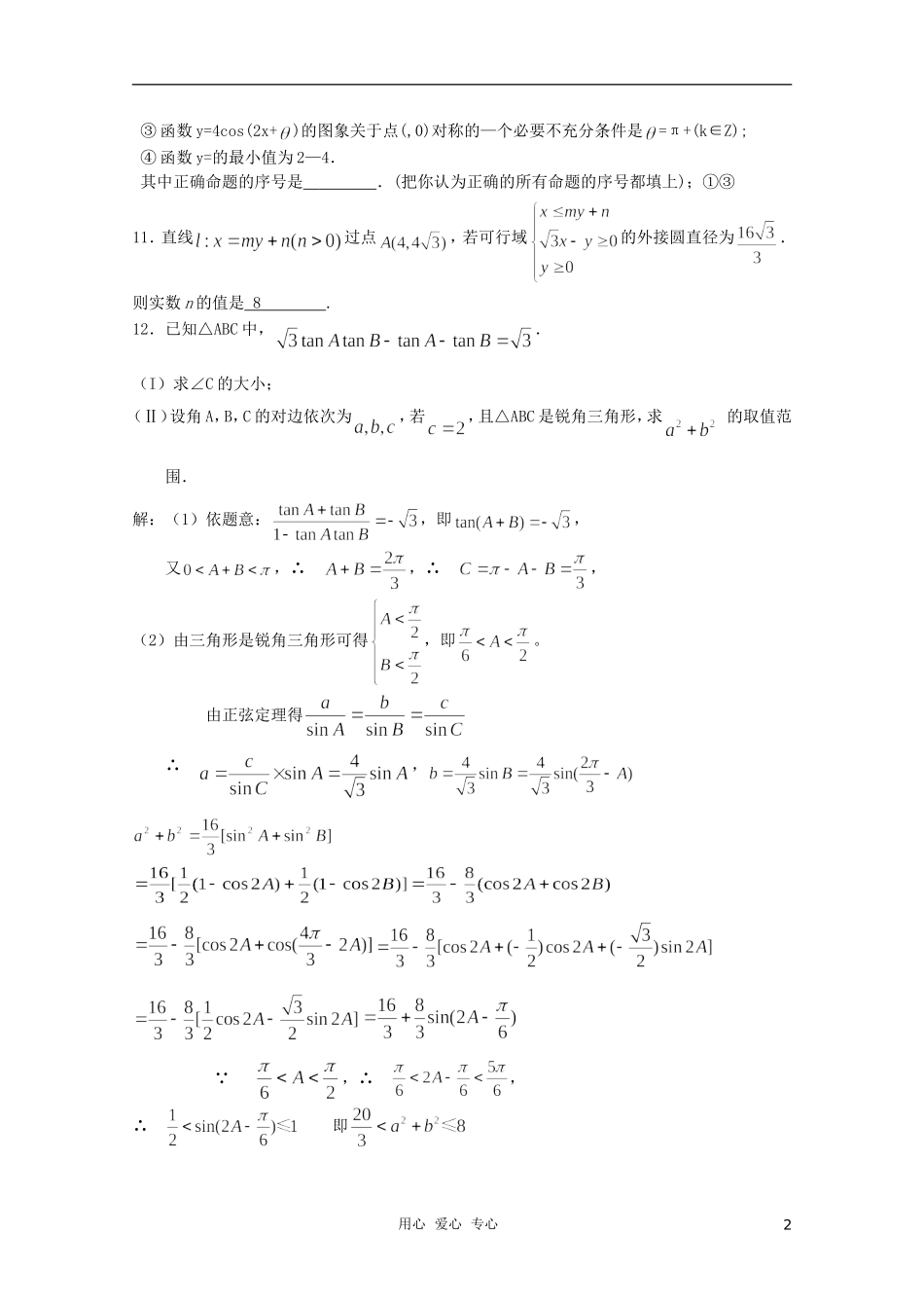
数学纠错练习(5)1.已知,则函数的最大值是_____________.132.已知在上是增函数,则的取值范围是.3.已知为实数,若双曲线的焦距与的取值无关,则的取值范是.4.]2,0[),cos|sin(|22xxxy的图像与直线ky有且仅有两个不同的交点,则k的取值范围为_________.2222k或k=15.有一圆锥形容器,其底面半径等于圆锥的高,若以9cm3/s的速度向该容器注水,则水深10cm时水面上升的速度为cm/s;6.已知=且,则7.设f(x)是定义在(-1,1)上的偶函数在(0,1)上增,若f(a-2)-f(4-a2)<0,则a的取值范围为______________.8.已知命题①:函数为奇函数;命题②:函数在其定义域上是增函数;命题③:“,若,则或”的逆命题;命题④:已知,“”是“”成立的充分不必要条件.上述命题中,真命题的序号有;(请把你认为正确命题的序号都填上)①③9.函数f(x)=,则不等式(x+2)﹥(2x-1)的解集是{x|-﹤x﹤3}10.有下列命题:①函数y=4cos2x,x∈[-l0,10]不是周期函数;②函数y=4cos2x的图象可由y=4sin2x的图象向右平移个单位得到;用心爱心专心1③函数y=4cos(2x+)的图象关于点(,0)对称的—个必要不充分条件是=π+(k∈Z);④函数y=的最小值为2—4.其中正确命题的序号是.(把你认为正确的所有命题的序号都填上);①③11.直线过点,若可行域的外接圆直径为.则实数n的值是8.12.已知△ABC中,.(I)求∠C的大小;(Ⅱ)设角A,B,C的对边依次为,若,且△ABC是锐角三角形,求的取值范围.解:(1)依题意:,即,又,∴,∴,(2)由三角形是锐角三角形可得,即。由正弦定理得∴,∵,∴,∴即用心爱心专心213.设二次函数在区间上的最大值、最小值分别是M、m,集合.(1)若,且,求M和m的值;(2)若,且,记,求的最小值.解、(1)由又(2)x=1∴,即∴f(x)=ax2+(1-2a)x+a,x∈[-2,2]其对称轴方程为x=又a≥1,故1-∴M=f(-2)=9a-2m=g(a)=M+m=9a--1=………16分用心爱心专心3

1、当您付费下载文档后,您只拥有了使用权限,并不意味着购买了版权,文档只能用于自身使用,不得用于其他商业用途(如 [转卖]进行直接盈利或[编辑后售卖]进行间接盈利)。
2、本站所有内容均由合作方或网友上传,本站不对文档的完整性、权威性及其观点立场正确性做任何保证或承诺!文档内容仅供研究参考,付费前请自行鉴别。
3、如文档内容存在违规,或者侵犯商业秘密、侵犯著作权等,请点击“违规举报”。

碎片内容

高三数学纠错练习(5)

您可能关注的文档

慧源书店+ 关注
实名认证
内容提供者

从事历史教学,热爱教育,高度负责。

相关文档

确认删除?
VIP
微信客服
  • 扫码咨询
会员Q群
  • 会员专属群点击这里加入QQ群
客服邮箱
回到顶部