电脑桌面
添加小米粒文库到电脑桌面
安装后可以在桌面快捷访问

高三数学理解不等式人教版知识精讲VIP免费

高三数学理解不等式人教版知识精讲_第1页
1/5
高三数学理解不等式人教版知识精讲_第2页
2/5
高三数学理解不等式人教版知识精讲_第3页
3/5
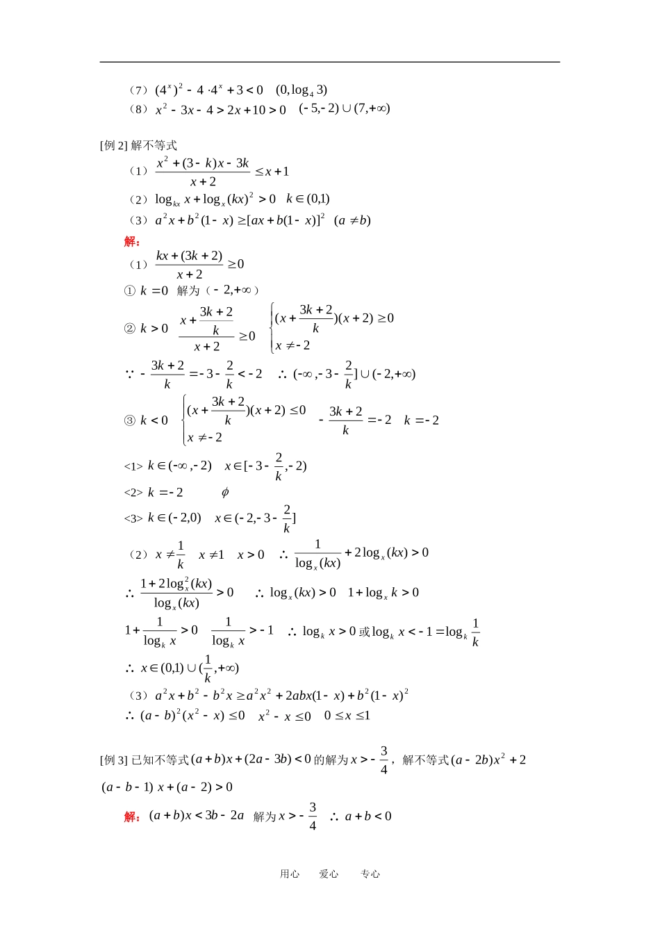
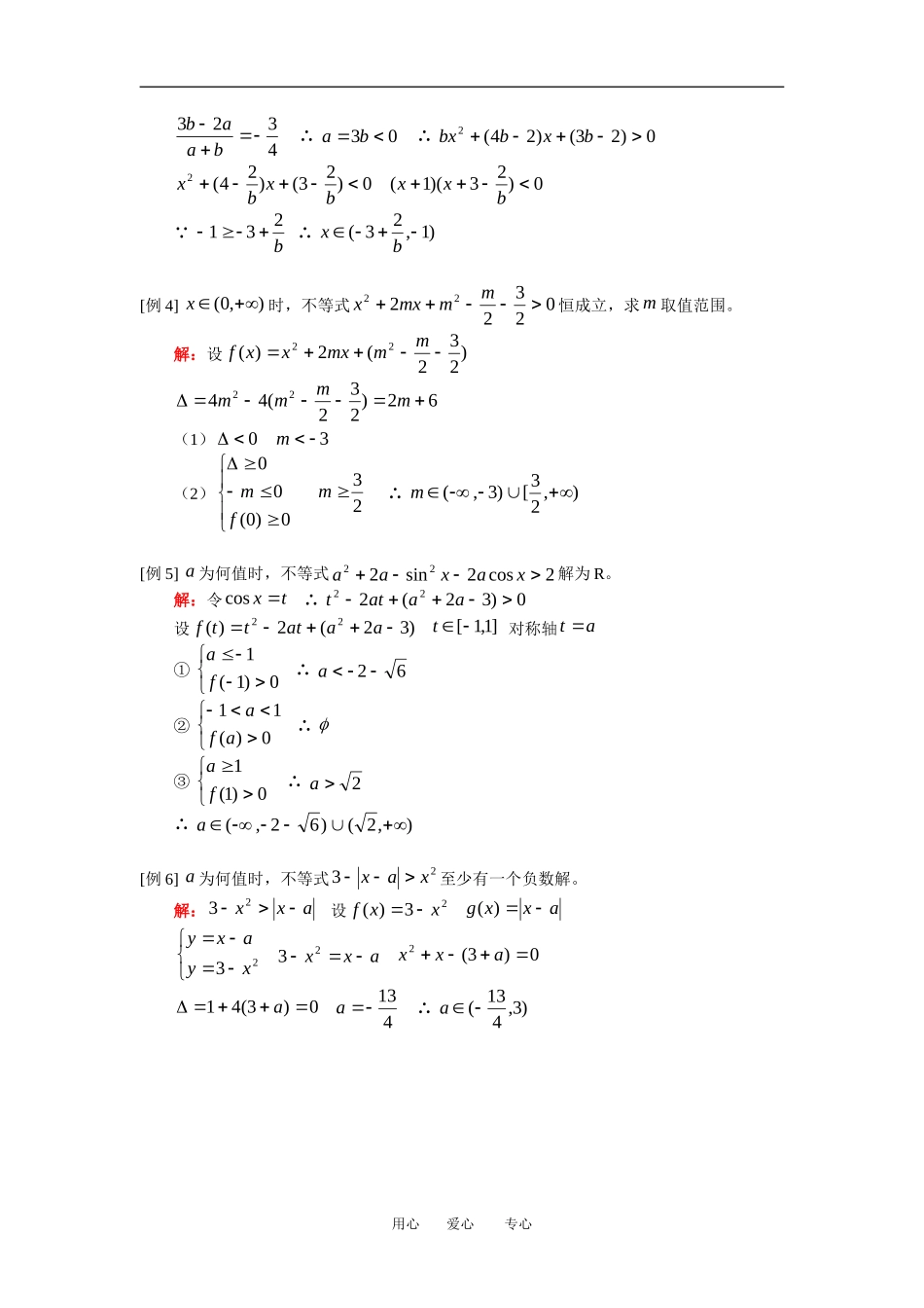
高三数学理解不等式人教版【同步教育信息】一.本周教学内容:解不等式二.重点、难点:1.高次不等式、序轴标根法2.分式不等式通分,同解变形成高次不等式3.指数不等式)()(xgxfaa)()(),1()()()1,0(xgxfaxgxfa4.对称不等式)(log)(logxgxfaa)1,0(a0)()(xfxg),1(a0)()(xgxf【典型例题】[例1]解不等式:(1)0344234xxx(2)0)2()1()1)(2(32xxxx(3)21xx(4)51111xxx(5)2432xxx(6)12)12()12(2xxx(7)0321622xx(8))102(log)43(log2.022.0xxx解:(1))23,0()0,21((2)]2,1[}1{]2,((3)0)1)(1(2xxxx(0,1)(4)0)5)(1(5102xxxxx),0()525,1()5,525((5)),102()31,31()102,((6)12)12()12(2xxx122xxx)215,251(用心爱心专心(7)0344)4(2xx)3log,0(4(8)0102432xxx),7()2,5([例2]解不等式(1)123)3(2xxkxkx(2)0)(loglog2kxxxkx)1,0(k(3))()]1([)1(222baxbaxxbxa解:(1)02)23(xkkx①0k解为(,2)②0k0223xkkx20)2)(23(xxkkx∵22323kkk∴),2(]23,(k③0k20)2)(23(xxkkx223kk2k<1>)2,(k)2,23[kx<2>2k<3>)0,2(k]23,2(kx(2)kx11x0x∴0)(log2)(log1kxkxxx∴0)(log)(log212kxkxxx∴0)(logkxx0log1kx0log11xk1log1xk∴0logxk或kxkk1log1log∴),1()1,0(kx(3)2222222)1()1(2xbxabxxaxbbxa∴0)()(22xxba02xx10x[例3]已知不等式0)32()(baxba的解为43x,解不等式2)2(2xba)1(ba0)2(ax解:abxba23)(解为43x∴0ba用心爱心专心4323baab∴03ba∴0)23()24(2bxbbx0)23()24(2bxbx0)23)(1(bxx∵b231∴)1,23(bx[例4]),0(x时,不等式0232222mmmxx恒成立,求m取值范围。解:设)232(2)(22mmmxxxf62)232(4422mmmm(1)03m(2)230)0(00mfm∴),23[)3,(m[例5]a为何值时,不等式2cos2sin222xaxaa解为R。解:令txcos∴0)32(222aaatt设)32(2)(22aaatttf]1,1[t对称轴at①0)1(1fa∴62a②0)(11afa∴③0)1(1fa∴2a∴),2()62,(a[例6]a为何值时,不等式23xax至少有一个负数解。解:axx23设23)(xxfaxxg)(23xyaxyaxx230)3(2axx0)3(41a413a∴)3,413(a用心爱心专心【模拟试题】(答题时间:45分钟)1.若不等式022bxax的解集是3121|xx,则ba的值是()A.10B.14C.10D.142.关于x的不等式012aaxax的解集为R,则a的取值范围为()A.)0,(B.),34()0,(C.]0,(D.),34(]0,(3.不等式111xx的解集是()A.3|xxB.}2234|{xxC.}1|{xxD.2|{xx或}12x4.不等式0)4)(3()2()1(2xxxx的解集为()A.2x或43xB.2x或43xC.2x或43x或1xD.2x或43x5.已知函数)2(log221kkxxy的值域为全体实数,则实数k的取值范围是()A.10kB.10kC.0k或1kD.0k或1k6.当不等式61022pxx中恰好有一个解时,实数p的值是()A.2B.2C.2或2D.4或47.设Rx,如果|)7||3lg(|xxa恒成立,则a的取值范围()A.1aB.1aC.10aD.1a8.已知不等式0342xx①:0862xx;②:0922mxx;③:要使同时满足①、②的x也满足③,则有()A.9mB.9mC.9mD.90m9.不等式0)4)(3)(1)(1(2xxxxx的解集是。10.关于x的不等式33)33(22mmxmm的解集是。11.若函数86)(2kkxkxxf的定义域为R,则实数k的取值范围是。用心爱心专心12.已知关于x的不等式0)32()(baxba的解集为)31,(,则关于x的不等式0)2()3(abxba的解集为。13.不等式1|1||3|xx的解集是。【试题答案】1.A2.C3.D4.C5.D6.D7.D8.C9.),4()1,0()3,(10.)1,(11.10k12.)3,(13.),21(用心爱心专心

1、当您付费下载文档后,您只拥有了使用权限,并不意味着购买了版权,文档只能用于自身使用,不得用于其他商业用途(如 [转卖]进行直接盈利或[编辑后售卖]进行间接盈利)。
2、本站所有内容均由合作方或网友上传,本站不对文档的完整性、权威性及其观点立场正确性做任何保证或承诺!文档内容仅供研究参考,付费前请自行鉴别。
3、如文档内容存在违规,或者侵犯商业秘密、侵犯著作权等,请点击“违规举报”。

碎片内容

高三数学理解不等式人教版知识精讲

您可能关注的文档

确认删除?
VIP
微信客服
  • 扫码咨询
会员Q群
  • 会员专属群点击这里加入QQ群
客服邮箱
回到顶部