电脑桌面
添加小米粒文库到电脑桌面
安装后可以在桌面快捷访问

高三数学理二项式定理、回归分析、独立性检验、抽样人教实验版(A)知识精讲VIP免费

高三数学理二项式定理、回归分析、独立性检验、抽样人教实验版(A)知识精讲_第1页
1/17
高三数学理二项式定理、回归分析、独立性检验、抽样人教实验版(A)知识精讲_第2页
2/17
高三数学理二项式定理、回归分析、独立性检验、抽样人教实验版(A)知识精讲_第3页
3/17
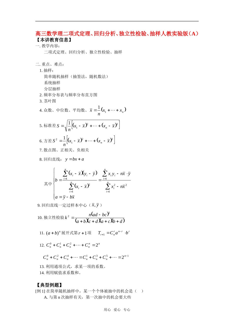
高三数学理二项式定理、回归分析、独立性检验、抽样人教实验版(A)【本讲教育信息】一.教学内容:二项式定理、回归分析、独立性检验、抽样二.重点、难点:1.抽样:简单随机抽样(抽签法,随机数法)系统抽样分层抽样2.频率分布表与频率分布直方图3.茎叶图4.众数、中位数、平均数、nxxnx115.标准差2211xxxxnSn6.方差22121xxxxnSn7.散点图、正相关、负相关8.回归直线:abxy其中xbyaxnxyxnyxxxyyxxbniiniiiniiniii12211219.回归直线一定过样本中心(yx,)10.独立性检验dbcadcbabcadnk2211.nba)(展开式第1r项rrnrnrbaCT112.nnnnnnCCCC221015314202nnnnnnnCCCCCC13.利用通项公式,求某一项的系数。14.利用赋值求系数和。【典型例题】[例1]在简单随机抽样中,某一个个体被抽中的机会是()A.与第n次抽样有关,第一次抽中的机会要大些用心爱心专心B.与第n次抽样无关,每次抽中的机会都相等C.与第n次抽样有关,最后一次抽中的机会大些D.该个体被抽中的机会无法确定答案:B解析:简单随机抽样中,每个个体被抽中的机会相等,且与先后顺序无关。[例2]某校有行政人员、教学人员和教辅人员共200人,其中教学人员与教辅人员的比为10:1,行政人员有24人,现采取分层抽样的方法抽取容量为50的样本,那么教学人员应抽取的人数为()A.30B.40C.20D.36答案:B解析:设教辅人员x人,则2002410xx,∴16x,∴教学人员应抽取16×10×4020050人。[例3]某公司生产三种型号的轿车,产量分别为1200辆,6000辆和2000辆,为检验该公司的产品质量,现用分层抽样的方法抽取46辆进行检验,这三种型号的轿车依次应抽取、、辆。答案:6;30;10[例4]用分层抽样的方法从某校学生中抽取一个容量为45的样本,其中高一年级20人,高三年级10人,已知该校高二年级共有300人,该校学生总数为。答案:900解析:高二抽45-20-10=15人抽样比n4530015,∴900n。[例5]用系统抽样法从160名学生中抽取容量为20的样本,将160名学生随机地从1~160编号,按编号顺序平均分成20组(1~8号,9~16号,…,153~160号),若第16组抽出的号码为126,则第1组中用抽签的方法确定的号码是。答案:6解析:设第一组抽出号码为x,则第16组抽出号码为8×15+x=126,∴x=6。[例6]计算数据89,93,88,91,94,90,88,87的方差和标准差(标准差结果精确到0.1)解答:320412318190x9008190用心爱心专心5.5844940161491812s3.25.5s所以这组数据的方差为5.5,标准差为2.3[例7]已知样本:10861013810121178911912910111212那么频率为0.3的范围是()A.5.5~7.5B.7.5~9.5C.9.5~11.5D.11.5~13.5答案:B解析:样本容量为20,频率若为0.3,则在此组的频率数应为20×0.3=6[例8]要加工一圆形零件,按图纸要求,直径为10mm,现在由甲、乙两人加工此种零件,在他们的产品中各抽5件测得直径如下:甲:10.0510.029.979.9610.00乙:10.0010.0110.029.9710.00问甲、乙两人谁生产的零件较好?分析:通过计算两组数据的x和2S,然后加以比较,再作出判断。解答:1000.1096.997.902.1005.1051甲x22221097.91002.101005.1041甲S2210101096.900135.01000.1097.902.1001.1000.1051乙x2221001.1000.1000.10[41乙S用心爱心专心200.1002.102200.1000.101097.9]=0.00035由计算可知两者样本均值相同,前者样本方差较大,由此估计工人乙生产的零件质量较好。[例9]如图是一个容量为200的样本的频率分布直方图,请根据图形中的数据填空:(1)样本数据落在范围)9,5[的频率为(2)样本数据落在范围)13,9[的频数为。答案:(1)0.32(2)72解析:频率32.0组距组距频率;频数=频率×样本总数=72[例10]将容量为100的样本数据,按...

1、当您付费下载文档后,您只拥有了使用权限,并不意味着购买了版权,文档只能用于自身使用,不得用于其他商业用途(如 [转卖]进行直接盈利或[编辑后售卖]进行间接盈利)。
2、本站所有内容均由合作方或网友上传,本站不对文档的完整性、权威性及其观点立场正确性做任何保证或承诺!文档内容仅供研究参考,付费前请自行鉴别。
3、如文档内容存在违规,或者侵犯商业秘密、侵犯著作权等,请点击“违规举报”。

碎片内容

高三数学理二项式定理、回归分析、独立性检验、抽样人教实验版(A)知识精讲

慧源书店+ 关注
实名认证
内容提供者

从事历史教学,热爱教育,高度负责。

确认删除?
VIP
微信客服
  • 扫码咨询
会员Q群
  • 会员专属群点击这里加入QQ群
客服邮箱
回到顶部