电脑桌面
添加小米粒文库到电脑桌面
安装后可以在桌面快捷访问

高三数学文月考真题选讲(一)人教实验版(A)VIP免费

高三数学文月考真题选讲(一)人教实验版(A)_第1页
1/14
高三数学文月考真题选讲(一)人教实验版(A)_第2页
2/14
高三数学文月考真题选讲(一)人教实验版(A)_第3页
3/14
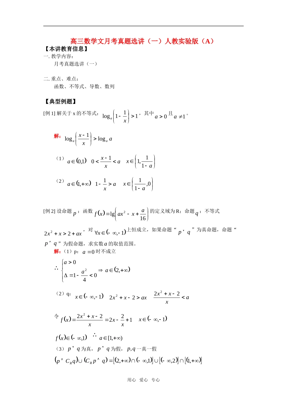
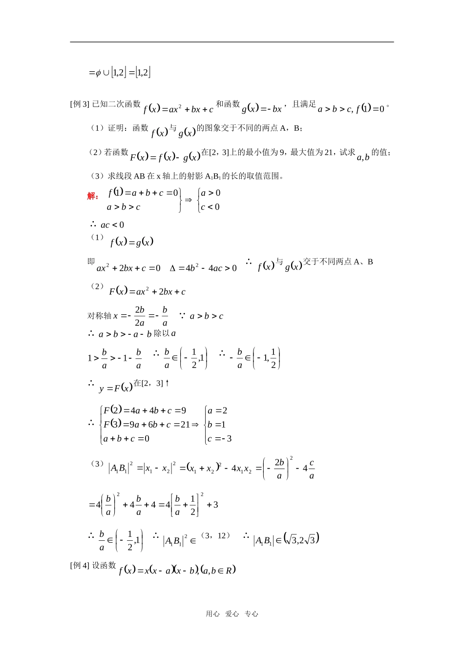
高三数学文月考真题选讲(一)人教实验版(A)【本讲教育信息】一.教学内容:月考真题选讲(一)二.重点、难点:函数、不等式、导数、数列【典型例题】[例1]解关于x的不等式:111logxa,其中0a且1a。解:axxaalog1log(1)1,0aaxx10ax11,1(2),1aax110,11ax[例2]设命题p:函数16lg2axaxxf的定义域为R;命题q:不等式axxx222,对1,x上恒成立,如果命题“qp”为真命题,命题“qp”为假命题,求实数a的取值范围。解:(1)p:0a时不成立∴,204102aaa(2)q:1,xaxxx222axxx222令122222xxxxxxf1,x1,xf∴),1[a(3)qp为真,qp为假,qp,一真一假qCpRqpCR,12,1,,2用心爱心专心2,12,1[例3]已知二次函数cbxaxxf2和函数bxxg,且满足01,fcba。(1)证明:函数xf与xg的图象交于不同的两点A,B;(2)若函数xgxfxF在[2,3]上的最小值为9,最大值为21,试求ba,的值;(3)求线段AB在x轴上的射影A1B1的长的取值范围。解:0001cacbacbaf∴0ac(1)xgxf即022cbxax0442acb∴xf与xg交于不同两点A、B(2)cbxaxxF22对称轴ababx22 cba∴baba除以aabab11∴1,21ab∴21,1ab∴xFy在[2,3]↑∴3120216939442cbacbacbaFcbaF(3)221211xxBAacabxxxx424221221321444422ababab∴1,21ab∴211BA(3,12)∴32,311BA[例4]设函数Rbabxaxxxf,,用心爱心专心(1)若0,abba,直线2ax与函数xf的图像交于点P(00,xfx),求证函数xf在点P处的切线过点0,b;(2)若0aba,且当1,0ax时,22axf恒成立,求实数a的取值范围。解:(1)abxxbaxxf23abxbaxxf2322axbaaaf2422切l:222432422axababaabaaybxabaxay4441222∴切l过点0,b(2)xaaxxxfba2232,,2243aaxxxf33axax①0a,1,0axf在∴221aaf222321121aaaaaa0156223aaaa无解②0a1,,3aaaa222123aafaaf232274aa0122aa∴,121,2270a∴227,1a[例5]设函数11aaxxxxf(1)求导数xf,并证明函数xf有两个不同的极值点21,xx;(2)若不等式021xfxf成立,求a的取值范围。解:(1)axxaxxf231axaxxf1232用心爱心专心aa12142432142a>013221axx321axx∴有两个极值(2)2122213231211xxaxxaxxxfxf21212212122121]2[1]3[xxaxxxxaxxxxxx132132194132127833aaaaaaaa013212743aaa02522aa0212aa又 1a∴2a[例6]已知函数Raaaxxxf224(1)如果关于x的不等式xxf的解集为R,求实数a的最大值;(2)在(1)的条件下,对于任意实数x,试比较xf...

1、当您付费下载文档后,您只拥有了使用权限,并不意味着购买了版权,文档只能用于自身使用,不得用于其他商业用途(如 [转卖]进行直接盈利或[编辑后售卖]进行间接盈利)。
2、本站所有内容均由合作方或网友上传,本站不对文档的完整性、权威性及其观点立场正确性做任何保证或承诺!文档内容仅供研究参考,付费前请自行鉴别。
3、如文档内容存在违规,或者侵犯商业秘密、侵犯著作权等,请点击“违规举报”。

碎片内容

高三数学文月考真题选讲(一)人教实验版(A)

您可能关注的文档

慧源书店+ 关注
实名认证
内容提供者

从事历史教学,热爱教育,高度负责。

确认删除?
VIP
微信客服
  • 扫码咨询
会员Q群
  • 会员专属群点击这里加入QQ群
客服邮箱
回到顶部