电脑桌面
添加小米粒文库到电脑桌面
安装后可以在桌面快捷访问

高三数学回归课本练习试题(六)VIP免费

高三数学回归课本练习试题(六)_第1页
1/4
高三数学回归课本练习试题(六)_第2页
2/4
高三数学回归课本练习试题(六)_第3页
3/4
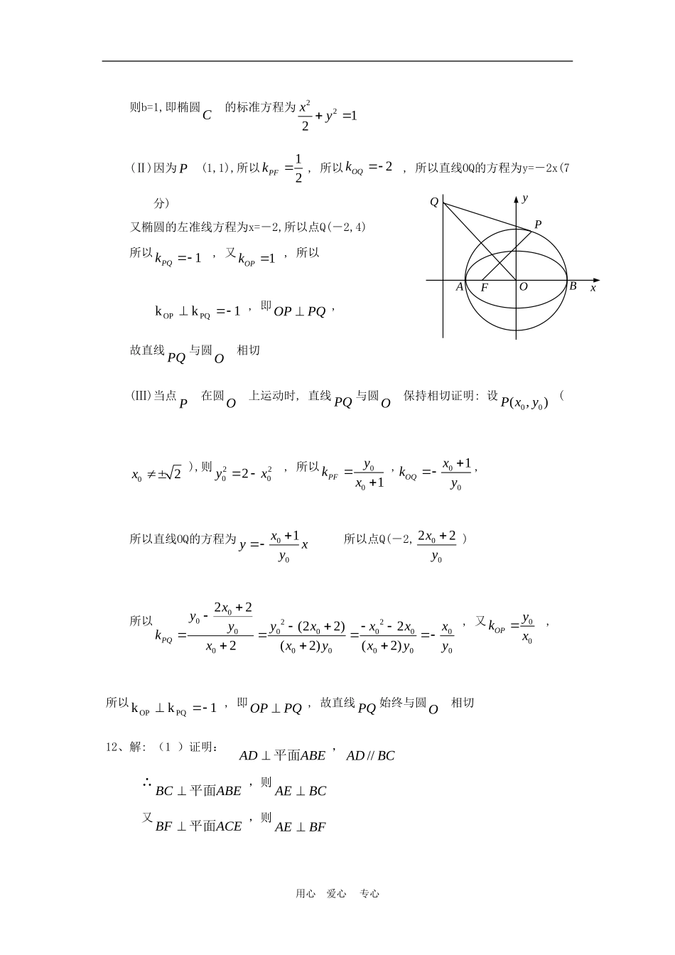
数学回归课本基础训练(六)一、姓名得分整理:卢立臻1.A、B是x轴上两点,点P的横坐标为2,且|PA|=|PB|,若直线PA的方程为x-y+1=0,则直线PB的方程为2.已知,(3)34,7(5)80xymxymxyxmy,则直线3mxy34m与坐标轴围成的三角形面积是.3.将直线30xy绕原点按顺时针方向旋转30,所得直线与圆22(2)3xy的位置关系是4.直线mxy23和圆222nyx相切,其中m、*Nn,5||nm,试写出所有满足条件的有序实数对),(nm:5.已知{(,)|6,0,0}xyxyxy,{(,)|4,0,20}Axyxyxy,若向区域上随机投一点P,P落入区域A的概率为.6.已知,ab为两条不同的直线,,为两个不同的平面,且,ab,给出以下四个命题:①.若//ab,则//;②.若,则ab;③.若,ab相交,则,相交;④.若,相交,则,ab相交。则所有真命题的序号是7.如图,直三棱柱的侧棱长和底面边长均为2,正视图和俯视图如图所示,则其左视图的面积为8.已知三棱锥O-ABC中,OA、OB、OC两两互相垂直,OC=1,OA=x,OB=y,若x+y=4,则已知三棱锥O-ABC体积的最大值是9.实数,xy满足(6)(6)014xyxyx,则yx的最大值是10.已知点(,)PabQ与点(1,0)在直线2310xy的两侧,给出下列判断:①2310ab;②0a时,ba有最小值,无最大值;③22,MRabM使恒成立;④0a且1a,0b时,则1ba的取值范围为12(,)(,)33。其中属正确判断的个数是二、解答题(20分)11.已知圆O:222xy交x轴于A,B两点,曲线C是以AB为长轴,离心率为22的椭圆,其左焦点为F.若P是圆O上一点,连结PF,过原点O作直线PF的垂线交椭圆C的左准线于点Q.用心爱心专心第8题图正视图俯视图ABDCDCAB(Ⅰ)求椭圆C的标准方程;(Ⅱ)若点P的坐标为(1,1),求证:直线PQ与圆O相切;(Ⅲ)试探究:当点P在圆O上运动时(不与A、B重合),直线PQ与圆O是否保持相切的位置关系?若是,请证明;若不是,请说明理由.12.如图,四边形ABCD为矩形,AD⊥平面ABE,AE=EB=BC=2,F为CE上的点,且BF⊥平面ACE.(1)求证:AE⊥BE;(2)求三棱锥D-AEC的体积;(3)设M在线段AB上,且满足AM=2MB,试在线段CE上确定一点N,使得MN∥平面DAE.参考答案一、填空题:1、x+y-5=0;2、2;3、相交;4、(1,1),(2,2),(3,4),;(4,8);5、29;6、①②③;7、23;8、23;9、7;10、2个三、解答题:解:(Ⅰ)因为22,2ae,所以c=1用心爱心专心BCADEFM则b=1,即椭圆C的标准方程为2212xy(Ⅱ)因为P(1,1),所以12PFk,所以2OQk,所以直线OQ的方程为y=-2x(7分)又椭圆的左准线方程为x=-2,所以点Q(-2,4)所以1PQk,又1OPk,所以1kkPQOP,即OPPQ,故直线PQ与圆O相切(Ⅲ)当点P在圆O上运动时,直线PQ与圆O保持相切证明:设00(,)Pxy(02x),则22002yx,所以001PFykx,001OQxky,所以直线OQ的方程为001xyxy所以点Q(-2,0022xy)所以002200000000000022(22)22(2)(2)PQxyyyxxxxkxxyxyy,又00OPykx,所以1kkPQOP,即OPPQ,故直线PQ始终与圆O相切12、解:(1)证明:ABEAD平面,BCAD//∴ABEBC平面,则BCAE又ACEBF平面,则BFAE用心爱心专心xyOPFQAB∴BCEAE平面又BCEBE平面∴BEAE(2)31ADCEAECDVV×22×342(3)在三角形ABE中过M点作MG∥AE交BE于G点,在三角形BEC中过G点作GN∥BC交EC于N点,连MN,则由比例关系易得CN=CE31MG∥AEMG平面ADE,AE平面ADE,MG∥平面ADE同理,GN∥平面ADE平面MGN∥平面ADE又MN平面MGNMN∥平面ADEN点为线段CE上靠近C点的一个三等分点用心爱心专心

1、当您付费下载文档后,您只拥有了使用权限,并不意味着购买了版权,文档只能用于自身使用,不得用于其他商业用途(如 [转卖]进行直接盈利或[编辑后售卖]进行间接盈利)。
2、本站所有内容均由合作方或网友上传,本站不对文档的完整性、权威性及其观点立场正确性做任何保证或承诺!文档内容仅供研究参考,付费前请自行鉴别。
3、如文档内容存在违规,或者侵犯商业秘密、侵犯著作权等,请点击“违规举报”。

碎片内容

高三数学回归课本练习试题(六)

您可能关注的文档

慧源书店+ 关注
实名认证
内容提供者

从事历史教学,热爱教育,高度负责。

确认删除?
VIP
微信客服
  • 扫码咨询
会员Q群
  • 会员专属群点击这里加入QQ群
客服邮箱
回到顶部