电脑桌面
添加小米粒文库到电脑桌面
安装后可以在桌面快捷访问

高三数学专项练习01、02(向量)VIP免费

高三数学专项练习01、02(向量)_第1页
1/5
高三数学专项练习01、02(向量)_第2页
2/5
高三数学专项练习01、02(向量)_第3页
3/5
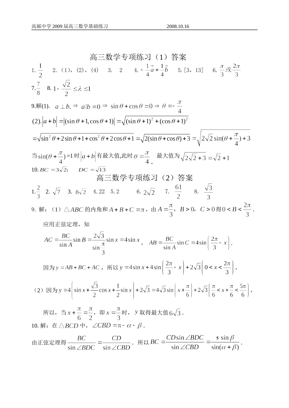
高邮中学2009届高三数学基础练习2008.10.16高三数学专项练习(1)(平面向量部分)一、填空题:1.若三点共线,则的值等于.2.如图,在平行四边形ABCD中,下列结论中正确的有(1)=(2)+=(3)-=(4)+=3.设向量,若向量与向量共线,则.4.在平行四边形ABCD中,,,,M为BC的中点,则=.(用,表示)5.已知||=8,||=5,则||的取值范围是.6.在△ABC中,角ABC的对边分别为a、b、c,若(a2+c2-b2)tanB=,则角B的值为。7如果等腰三角形的周长是底边长的5倍,那么它的顶角的余弦值为。8.设,,,点是线段上的一个动点,,若,则实数的取值范围是二、解答题:9.已知向量a=(sinθ,1),b=(1,cosθ),-<θ<.(Ⅰ)若a⊥b,求θ;(Ⅱ)求|a+b|的最大值.10.在,求(1)(2)若点ABCD高邮中学2009届高三数学基础练习2008.10.16高三数学专项练习(2)(平面向量部分)1在中,已知是边上一点,若,则2.若向量,满足且与的夹角为,则3.已知平面向量,.若,则_____________.4.直角坐标平面上三点,若为线段的三等分点,则=.5.直角坐标系中,分别是与轴正方向同向的单位向量.在直角三角形中,若,则的可能值个数是6.若AB=2,AC=BC,则的最大值.7.在△中,三个角的对边边长分别为,则的值为.8.在△ABC中,角A、B、C所对的边分别为、b、c,若,则______________。9.在中,已知内角,边.设内角,周长为.(1)求函数的解析式和定义域;(2)求的最大值.10.如图,测量河对岸的塔高时,可以选与塔底在同一水平面内的两个侧点与.现测得,并在点测得塔顶的仰角为,求塔高。高邮中学2009届高三数学基础练习2008.10.16高三数学专项练习(1)答案1.2.(1),(2),(4)3.24.5.[3,13]6.7.8.9.解(1).当=1时有最大值,此时,最大值为10.高三数学专项练习(2)答案1.2.3.4.225.26.7.8.9.解:(1)的内角和,由得.应用正弦定理,知,.因为,所以,(2)因为,所以,当,即时,取得最大值.10.解:在中,.由正弦定理得.所以.高邮中学2009届高三数学基础练习2008.10.16在中,.关于高三数学专项练习针对不少高三学生对数学基本知识和基本方法掌握不到位的现状,备课组决定从即日起每日对学生进行数学基础知识专项训练,具体要求如下:1.每份练习包括8道填空题和2道解答题(16K一页),选题以基础题和中档题为主(解答题难度与平时考试前三题难度相当),不要太难,但最好能有一点新意,应让学生能在30分钟内完成。2.期中考试前先分章后综合编写专项训练,分章部分应针对章节重点知识特别是学生易错点出题,也可利用练习进行滚动纠错;综合部分的专项训练应帮助学生复习迎接期中考试,可选择一些中档且较有新意的题目3.专项训练出题人员及练习内容安排如下表,请各位老师抽时间尽早编写不要延误,以保证学生每天一练习,另外要尽可能给出所编练习的参考答案。次序练习内容编写人专项练习(1)(2)平面向量陶香泉专项练习(3)(4)复数沈军专项练习(5)(6)数列戴荣臻专项练习(7)(8)数列季长征专项练习(9)(10)不等式赵方祥专项练习(11)(12)不等式杨永红专项练习(13)(14)立体几何叶超专项练习(15)(16)综合侯军专项练习(17)(18)综合邹广银专项练习(19)(20)综合邵正良专项练习(理1)(理2)理科选修孙建明专项练习(理3)(理4)理科选修徐祥来高三数学备课组2008.10.16高邮中学2009届高三数学基础练习2008.10.16

1、当您付费下载文档后,您只拥有了使用权限,并不意味着购买了版权,文档只能用于自身使用,不得用于其他商业用途(如 [转卖]进行直接盈利或[编辑后售卖]进行间接盈利)。
2、本站所有内容均由合作方或网友上传,本站不对文档的完整性、权威性及其观点立场正确性做任何保证或承诺!文档内容仅供研究参考,付费前请自行鉴别。
3、如文档内容存在违规,或者侵犯商业秘密、侵犯著作权等,请点击“违规举报”。

碎片内容

高三数学专项练习01、02(向量)

您可能关注的文档

慧源书店+ 关注
实名认证
内容提供者

从事历史教学,热爱教育,高度负责。

确认删除?
VIP
微信客服
  • 扫码咨询
会员Q群
  • 会员专属群点击这里加入QQ群
客服邮箱
回到顶部