电脑桌面
添加小米粒文库到电脑桌面
安装后可以在桌面快捷访问

高三数学上学期1月月考试题 理-人教版高三全册数学试题VIP免费

高三数学上学期1月月考试题 理-人教版高三全册数学试题_第1页
1/10
高三数学上学期1月月考试题 理-人教版高三全册数学试题_第2页
2/10
高三数学上学期1月月考试题 理-人教版高三全册数学试题_第3页
3/10
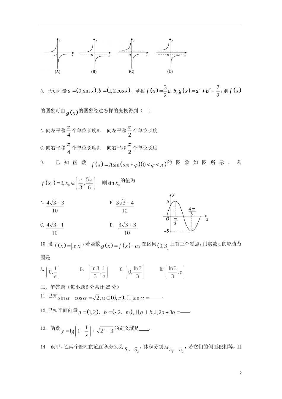
高三数学(理)月考试题(2016/1/11)(时间120分钟,满分150分)一、选择题(每小题5分,共计50分)1.设i是虚数单位,复数7412ii()A.32iB.32iC.23iD.23i2.集合20,2AxxaBxx,若RCAB,则实数a的取值范围是()A.0,4B.,4C.,4D.0,43.设,则A.B.C.D.4.下列四个结论:①若0x,则sinxx恒成立;②命题“若sin0,0xxx则”的逆命题为“若0sin0xxx,则”;③“命题pq为真”是“命题pq为真”的充分不必要条件;④命题“,ln0xRxx”的否定是“000,ln0xRxx”.其中正确结论的个数是()A.1个B.2个C.4个D.3个5.直线10xmy与不等式组30,20,20xyxyx表示的平面区域有公共点,则实数m的取值范围是()A.14,33B.41,33C.3,34D.33,46.已知某几何体的三视图,则该几何体的体积是()A.12B.24C.36D.487.设01a,则函数11xya的图象大致为()18.已知向量0,sin,1,2cosaxbx,函数2237,22fxabgxab,则fx的图象可由gx的图象经过怎样的变换得到()A.向左平移4个单位长度B.向左平移2个单位长度C.向右平移4个单位长度D.向右平移2个单位长度9.已知函数的图象如图所示,若的值为A.B.C.D.10.设,若函数在区间上有三个零点,则实数a的取值范围是A.B.C.D.二、解答题(每小题5分共计25分)11.已知.12.已知平面向量.13.函数的定义域是.14.设甲、乙两个圆柱的底面积分别为,体积分别为,若它们的侧面积相等,且2的值为.15.给出下列四个命题:①命题“”的否定是“”;②a、b、c是空间中的三条直线,a//b的充要条件是;③命题“在△ABC中,若”的逆命题为假命题;④对任意实数.其中的真命题是.(写出所有真命题的编号)三、解答题:16.已知函数的图像上相邻两个最高点的距离为.(I)求函数的单调递增区间;(II)若三个内角A、B、C的对边分别为,求a,b的值.17.已知数列前项和满足:(I)求数列的通项公式;(II)设,数列的前n项和为,求证:.18.在如图所示的空间几何体中,平面平面ABC,是边长为2的等边三角形,BE=2,BE和平面ABC所成的角为60°,且点E在平面ABC上的射影落在的平分线上.(I)求证:DE//平面ABC;(II)求二面角的余弦值.19.(本小题满分12分)如图正方形ABCD的边长为的边长为,四边形BDEF是平行四边形,BD与AC交于点G,O为GC的中点,平面ABCD.(I)求证:AE//平面BCF;(II)若,求证平面AEF..320.(本小题满分13分)已知函数.(I)求的单调区间;(II)若上恒成立,求实数m的取值范围.21(本小题满分14分).如图,在△ABC中,已知∠ABC=45°,O在AB上,且OB=OC=AB,又PO⊥平面ABC,DA∥PO,DA=AO=PO.(Ⅰ)求证:PD⊥平面COD;(Ⅱ)求二面角B﹣DC﹣O的余弦值.高三数学(理)月考试题答案一、选择题1.A2.B3.C4、D5、D6、A7、B8、C9、D10、D二.填空题11.-112.(-4,7)13.14.15.①④三、解答题45618.解析:(Ⅰ)证明:由题意知,,都是边长为2的等边三角形,取中点,连接,则,,又∵平面⊥平面,∴⊥平面,作⊥平面,那么,根据题意,点落在上,∴,易求得,∴四边形是平行四边形,∴,∴平面…………6分(Ⅱ)建立如图所示的空间直角坐标系,可知平面的一个法向量为,,,,设平面的一个法向量为,则,可求得.………………9分所以,又由图知,所求二面角的平面角是锐角,所以二面角的余弦值为.……12分7821.【解析】:(Ⅰ)证明:设OA=1,则PO=OB=2,DA=1,由DA∥PO,PO⊥平面ABC,知DA⊥平面ABC,∴DA⊥AO.从而,在△PDO中,∵PO=2,∴△PDO为直角三角形,故PD⊥DO.又∵OC=OB=2,∠ABC=45°,∴CO⊥AB,又PO⊥平面ABC,∴PO⊥OC,又PO,AB⊂平面PAB,PO∩AB=O,∴CO⊥平面PAB.故CO⊥PD.∵CO∩DO=O,9∴PD⊥平面COD.-------------7分(Ⅱ)解:以OC,OB,OP所在射线分别为x,y,z轴,建立直角坐标系如图.则由(Ⅰ)知,C(2,0,0),B(0,2,0),P(0,0,2),D(0,﹣1,1),∴,由(Ⅰ)知PD⊥平面COD,∴是平面DCO的一个法向量,设平面BDC的法向量为,∴,∴,令y=1,则x=1,z=3,∴,∴,由图可知:二面角B﹣DC﹣O为锐角,二面角B﹣DC﹣O的余弦值为.--14分10

1、当您付费下载文档后,您只拥有了使用权限,并不意味着购买了版权,文档只能用于自身使用,不得用于其他商业用途(如 [转卖]进行直接盈利或[编辑后售卖]进行间接盈利)。
2、本站所有内容均由合作方或网友上传,本站不对文档的完整性、权威性及其观点立场正确性做任何保证或承诺!文档内容仅供研究参考,付费前请自行鉴别。
3、如文档内容存在违规,或者侵犯商业秘密、侵犯著作权等,请点击“违规举报”。

碎片内容

高三数学上学期1月月考试题 理-人教版高三全册数学试题

您可能关注的文档

慧源书店+ 关注
实名认证
内容提供者

从事历史教学,热爱教育,高度负责。

相关文档

确认删除?
VIP
微信客服
  • 扫码咨询
会员Q群
  • 会员专属群点击这里加入QQ群
客服邮箱
回到顶部