电脑桌面
添加小米粒文库到电脑桌面
安装后可以在桌面快捷访问

高三数学三角平面向量综合(文)知识精讲人教实验版(A)VIP免费

高三数学三角平面向量综合(文)知识精讲人教实验版(A)_第1页
1/15
高三数学三角平面向量综合(文)知识精讲人教实验版(A)_第2页
2/15
高三数学三角平面向量综合(文)知识精讲人教实验版(A)_第3页
3/15
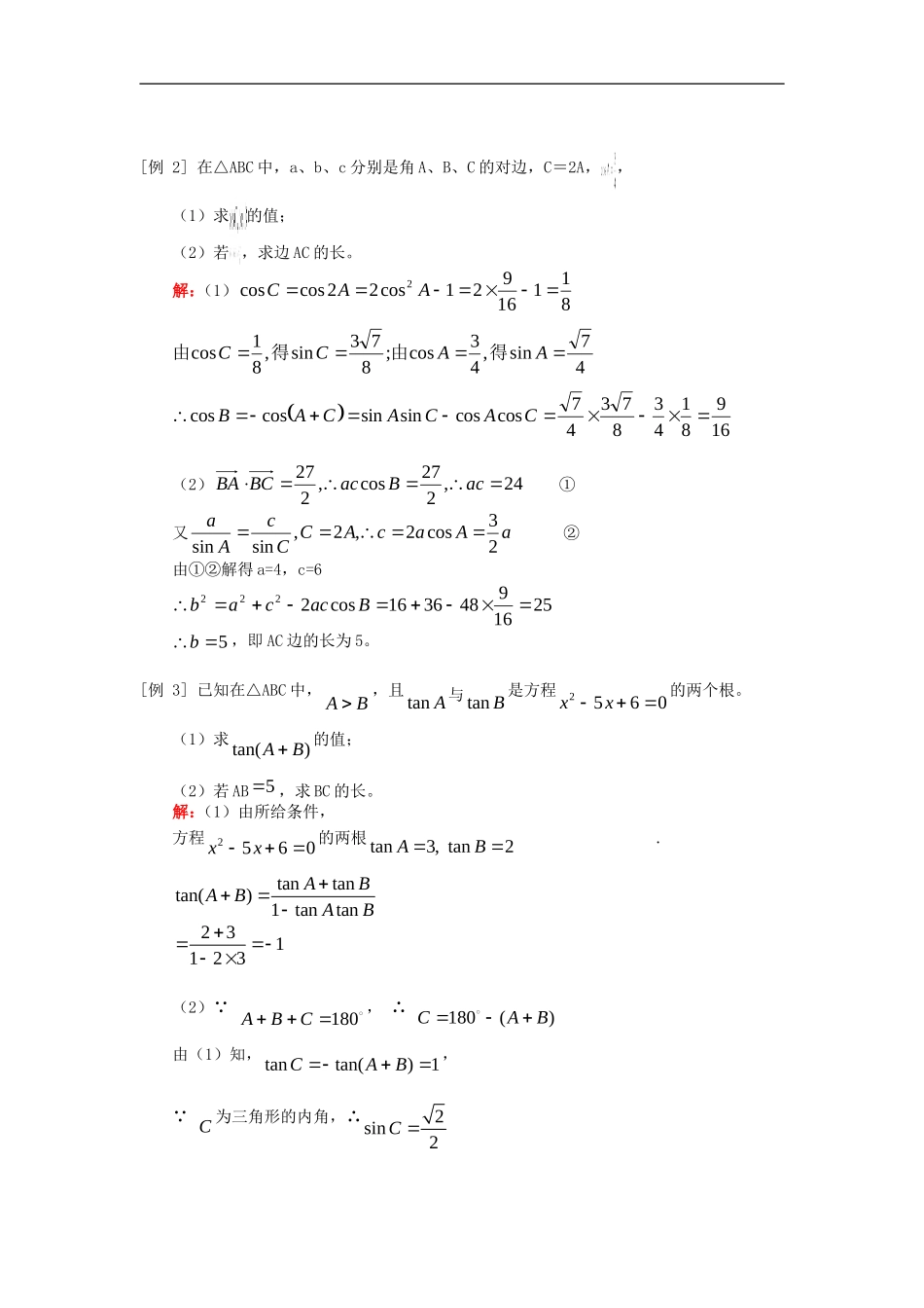
高三数学三角平面向量综合(文)人教实验版(A)【本讲教育信息】一.教学内容:三角,平面向量综合二.重点、难点:1.三角恒等变形,和差倍半公式2.三角函数图象性质3.平面向量4.解三角形,正余弦定理【典型例题】[例1]已知向量a=(cosα,sinα),求b=(cosβ,sinβ),|ab|=552。(1)求cos(αβ)的值;(II)若202,且sinβ=135,求sinα的值。解:(1) |ab|=552,∴a22a·b+b2=54,又a=(cosα,sinα),b=(cosβ,sinβ),∴a2=b2=1,a·b=cosαcosβ+sinαsinβ=cos(αβ)∴cos(αβ)=532542(2) 202,∴0<α-β<π,由(1)得cos(αβ)=53,∴sin(αβ)=54又sinβ=135,∴cosβ=1312∴sinα=sin[(αβ)+β]=sin(αβ)cosβ+cos(αβ)sinβ=54×6533)135(531312[例2]在△ABC中,a、b、c分别是角A、B、C的对边,C=2A,,(1)求的值;(2)若,求边AC的长。解:(1)81116921cos22coscos2AAC47sin,43cos;873sin,81cosAACC得由得由169814387347coscossinsincoscosCACACAB(2)24,227cos,227acBacBCBA①又aAacACCcAa23cos2,2,sinsin②由①②解得a=4,c=625169483616cos2222Baccab5b,即AC边的长为5。[例3]已知在△ABC中,AB,且Atan与Btan是方程0652xx的两个根。(1)求)tan(BA的值;(2)若AB5,求BC的长。解:(1)由所给条件,方程0652xx的两根tan3,tan2AB.tantantan()1tantanABABAB231123(2) 180CBA,∴)(180BAC由(1)知,1)tan(tanBAC, C为三角形的内角,∴2sin2C tan3A,A为三角形的内角,∴3sin10A,由正弦定理得:sinsinABBCCA∴53352102BC[例4]在△ABC,三个内角A、B、C满足sinB(1+cosA)=sinAcosC(1)求角A的大小;(2)若△ABC的面积为4,求△ABC周长的最小值。解:(1) ∴∴∴∴ ∴∴(2)∴△ABC的周长当且仅当时取等号∴△ABC的周长的最小值为[例5]已知A、B、C是△ABC的内角,向量,且(1)求角A;(2)若.求。解:(1)∴,即(2)由题意知,整理得,即或即时,使[例6]已知函数f(x)=xxcos3cos+2sin2x(1)求函数f(x)的最大值及此时x的值;(2)求函数f(x)的单调递减区间。解:(1) cos3x=4cos3x-3cosx,则xxcos3cos=4cos2x-3=2cos2x-1∴f(x)=2cos2x-1+2sin2x=22sin(2x+4)-1在2x+4=2kπ+2时,f(x)取得最大值22-1即在x=kπ+8(k∈Z)时,f(x)取得最大值22-1(2) f(x)=22sin(2x+4)-1要使f(x)递减,x满足2kπ+2≤2x+4≤2kπ+23即kπ+8≤x≤kπ+85(k∈Z)又 cosx≠0,即x≠kπ+2(k∈Z)于是[kπ+8,kπ+2],(kπ+2,kπ+85均为减区间[例7]在△ABC中,内角A、B、C的对边分别为a、b、c,已知a、b、c成等比数列,且cosB=。(1)求cotA+cotC的值;(2)设BA·BC=,求a+c的值。解:(1)在△ABC中 ∴又b2=ac∴由正弦定理可得∴即(2) BA∴ac=2又由余弦定理可得:∴∴a+c=3[例8]已知函数2()2sin23sincosfxmxmxxn的定义域为0,2,值域为5,4。试求函数()sin2cosgxmxnx(xR)的最小正周期和最值。解析:)62sin(22cos2sin3)(xmnmxmxmxfmn0,2x72,666x1sin(2),162x当m>0时,max()fx4)21(2nmm,5)(minnmxf解得2,3nm,从而,()3sin4cos5sin()gxxxx()xR,T=2,最大值为5,最小值为-5;当m<0时,解得3,1mn,从而,()3sin2cos13sin()gxxxx,T=2,最大值为13,最小值为13。[例9]在△ABC中,角A,B,C的对边分别为a,b,c,且(1)求cosB的值;(2)若,且,求b的值。(1)解:由正弦定理得,因此(2)解:由,所以[例10]已知向量=(tanx,1),=(sinx,cosx),其中·。(1)求函数的解析式及最大...

1、当您付费下载文档后,您只拥有了使用权限,并不意味着购买了版权,文档只能用于自身使用,不得用于其他商业用途(如 [转卖]进行直接盈利或[编辑后售卖]进行间接盈利)。
2、本站所有内容均由合作方或网友上传,本站不对文档的完整性、权威性及其观点立场正确性做任何保证或承诺!文档内容仅供研究参考,付费前请自行鉴别。
3、如文档内容存在违规,或者侵犯商业秘密、侵犯著作权等,请点击“违规举报”。

碎片内容

高三数学三角平面向量综合(文)知识精讲人教实验版(A)

您可能关注的文档

慧源书店+ 关注
实名认证
内容提供者

从事历史教学,热爱教育,高度负责。

相关文档

确认删除?
VIP
微信客服
  • 扫码咨询
会员Q群
  • 会员专属群点击这里加入QQ群
客服邮箱
回到顶部