电脑桌面
添加小米粒文库到电脑桌面
安装后可以在桌面快捷访问

高三数学 最值 知识精讲 人教版VIP免费

高三数学 最值 知识精讲 人教版_第1页
1/6
高三数学 最值 知识精讲 人教版_第2页
2/6
高三数学 最值 知识精讲 人教版_第3页
3/6
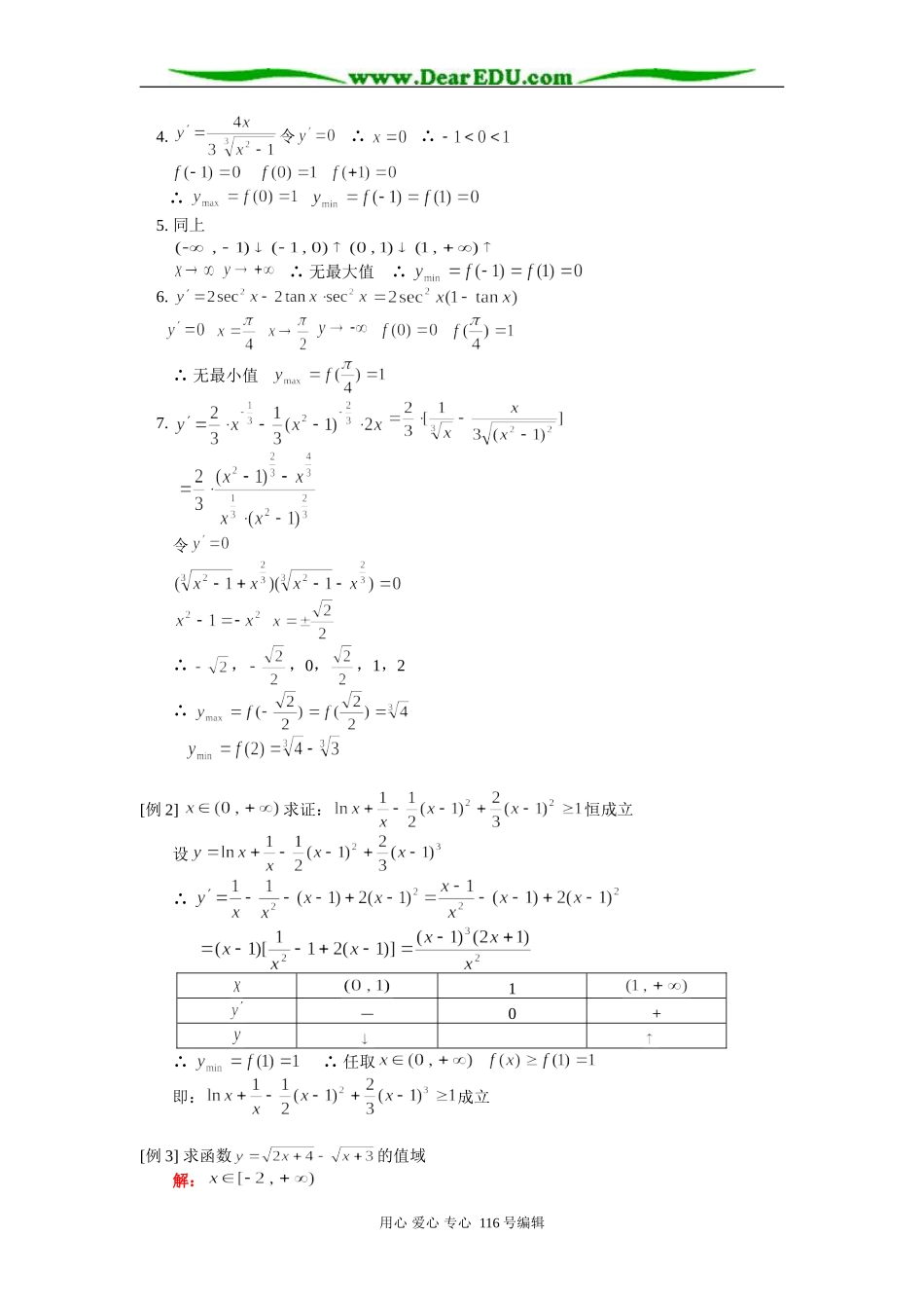
高三数学最值知识精讲人教版一.本周教学内容最值二.重点、难点1.闭区间的连续函数必有最值2.求最值,(1)求导(2)令解(3)计算、、……、(4)其中最大的为最大值,最小的为最小值3.不一定有最值应分析,的趋势4.应用题应多考虑实际情况【典型例题】[例1]求下列函数最值1.2.3.4.5.6.7.解:1.∴∴,∴2.()∴∴3.同上且时∴无最大值用心爱心专心116号编辑4.令∴∴∴5.同上∴无最大值∴6.∴无最小值7.令∴,,0,,1,2∴[例2]求证:恒成立设∴1-0+∴∴任取即:成立[例3]求函数的值域解:用心爱心专心116号编辑∴∴∴在,∴值域[例4]、,且,,,求的最值。解:令∴∴[例5],,,,求a、b解:(1)∴∴∴(2)∴∴∴,[例6],,,,,求a、b解:∴∴∴,[例7]在一块正形铁板的三个角分别剪去三个全等的小四边形,然后折成一个正三棱柱(如图)求正三棱柱体积最大值。用心爱心专心116号编辑解:设底面边长为∴∴时,[例8]在半径为R的圆上取一个圆心角为的扇形,并卷成一个圆锥。求圆锥体积的最大值。解:设圆锥底面半径为r∴令令∴此时,[例9]A在曲线上,,求的最小值。设令∴时,此时【模拟试题】(答题时间:30分钟)1.的最大值为()A.B.C.D.102.在处为最值,则()用心爱心专心116号编辑A.2B.1C.D.03.,最大值,最小值为()A.B.C.D.4.在点处的切线与、轴围成三角形面积为S。(1)求的方程(2)求的最大值用心爱心专心116号编辑[参考答案]1.A2.A3.B4.(1)解:∴:(2)∴∴用心爱心专心116号编辑

1、当您付费下载文档后,您只拥有了使用权限,并不意味着购买了版权,文档只能用于自身使用,不得用于其他商业用途(如 [转卖]进行直接盈利或[编辑后售卖]进行间接盈利)。
2、本站所有内容均由合作方或网友上传,本站不对文档的完整性、权威性及其观点立场正确性做任何保证或承诺!文档内容仅供研究参考,付费前请自行鉴别。
3、如文档内容存在违规,或者侵犯商业秘密、侵犯著作权等,请点击“违规举报”。

碎片内容

高三数学 最值 知识精讲 人教版

您可能关注的文档

慧源书店+ 关注
实名认证
内容提供者

从事历史教学,热爱教育,高度负责。

确认删除?
VIP
微信客服
  • 扫码咨询
会员Q群
  • 会员专属群点击这里加入QQ群
客服邮箱
回到顶部