电脑桌面
添加小米粒文库到电脑桌面
安装后可以在桌面快捷访问

附中高一数学参考答案VIP免费

附中高一数学参考答案_第1页
1/4
附中高一数学参考答案_第2页
2/4
附中高一数学参考答案_第3页
3/4
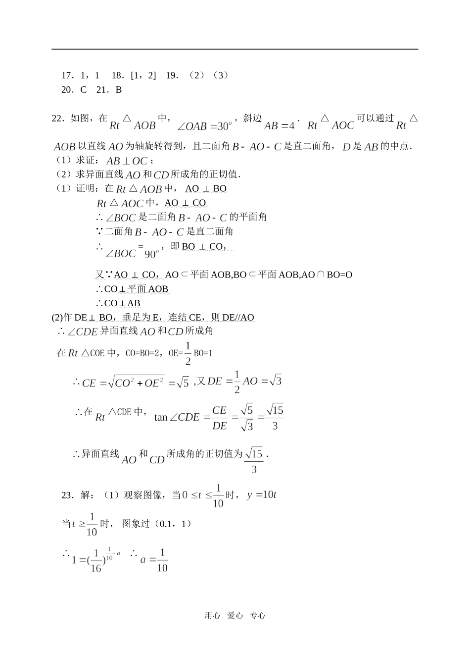
福建省师大附中2008—2009学年度第一学期期末考试高一数学试题参考答案第I卷一、选择题:1-10:CDBAACACDA二、填空题:11.(-1,2)12.三、解答题:13.解:(1)点O(0,0),点C(1,3),OC所在直线的斜率为.(2)在中,,CD⊥AB,CD⊥OC.CD所在直线的斜率为.CD所在直线方程为.14.解:依题意的侧面的高=所以几何体的表面积为.15.(1)证明:设AC和BD交于点O,连PO,由P,O分别是,BD的中点,故PO//,∵平面,平面所以直线∥平面用心爱心专心2(2)长方体中,,底面ABCD是正方形,则ACBD又面ABCD,则AC,∵平面,平面,∴AC面∵平面∴平面平面(3)由(2)已证:AC面∴在平面内的射影为OP∴是与平面所成的角依题意得,,在Rt△CPO中,,∴=∴与平面所成的角为16.解:以A为原点,AB所在直线为x轴,建立平面直角坐标系。则A(0,0).B(3,0).C(3,1).D(0,1).E(1,0).F(2,0)。由A(0,0).C(3,1)知直线AC的方程为:x-3y=0,由D(0,1).F(2,0)知直线DF的方程为:x+2y-2=0,由得故点G点的坐标为。又点E的坐标为(1,0),故,所以。即证得:第II卷用心爱心专心AEFBDGCxy17.1,118.[1,2]19.(2)(3)20.C21.B22.如图,在△中,,斜边.△可以通过△以直线为轴旋转得到,且二面角是直二面角,是的中点.(1)求证:;(2)求异面直线和所成角的正切值.(1)证明:在△中,AOB⊥O△中,AO⊥CO∴是二面角的平面角∵二面角是直二面角∴=,即BO⊥CO,又∵AO⊥CO,AO平面AOB,BO平面AOB,AOBO=O∴CO⊥平面AOB∴CO⊥AB(2)作DEB⊥O,垂足为E,连结CE,则DE//AO∴异面直线和所成角在△COE中,CO=BO=2,OE=BO=1∴,又∴在△CDE中,∴异面直线和所成角的正切值为.23.解:(1)观察图像,当时,当时,图象过(0.1,1)∴∴用心爱心专心∴(2)∴至少需要经过0.6小时后,学生才能回到教室.24.(1)解:∵是奇函数,∴,即,解得,∴,又由知解得∴,(2)由(1)知,由上式易知在R上为减函数.又为奇函数,从而不等式等价于∵在R上为减函数.∴,即对一切,有恒成立,∴△,解得.用心爱心专心

1、当您付费下载文档后,您只拥有了使用权限,并不意味着购买了版权,文档只能用于自身使用,不得用于其他商业用途(如 [转卖]进行直接盈利或[编辑后售卖]进行间接盈利)。
2、本站所有内容均由合作方或网友上传,本站不对文档的完整性、权威性及其观点立场正确性做任何保证或承诺!文档内容仅供研究参考,付费前请自行鉴别。
3、如文档内容存在违规,或者侵犯商业秘密、侵犯著作权等,请点击“违规举报”。

碎片内容

附中高一数学参考答案

您可能关注的文档

慧源书店+ 关注
实名认证
内容提供者

从事历史教学,热爱教育,高度负责。

确认删除?
VIP
微信客服
  • 扫码咨询
会员Q群
  • 会员专属群点击这里加入QQ群
客服邮箱
回到顶部