电脑桌面
添加小米粒文库到电脑桌面
安装后可以在桌面快捷访问

福建省莆田市二十四中高一数学上学期期末考试试题-人教版高一全册数学试题VIP免费

福建省莆田市二十四中高一数学上学期期末考试试题-人教版高一全册数学试题_第1页
1/8
福建省莆田市二十四中高一数学上学期期末考试试题-人教版高一全册数学试题_第2页
2/8
福建省莆田市二十四中高一数学上学期期末考试试题-人教版高一全册数学试题_第3页
3/8
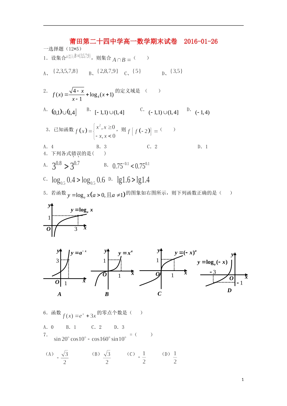
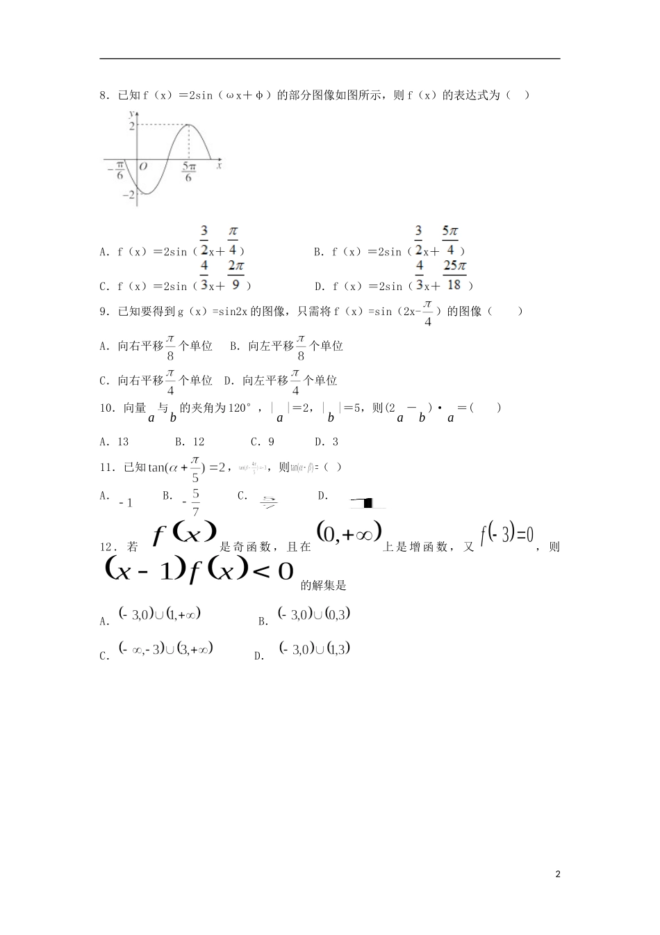
莆田第二十四中学高一数学期末试卷2016-01-26一选择题(12*5)1.设集合,则集合()A、B、C、D、2.44()log(1)1xfxxx的定义域是()A.4,11,0B.[1,1)(1,4]C.(1,1)(1,4]D.(1,4)3.已知函数,则()A.4B.3C.2D.14.下列各式错误的是()A.0.80.733B.0.10.10.750.75C.D.lg1.6lg1.45.若函数log0,1ayxaa且的图象如右图所示,则下列函数正确的是()6.函数的零点个数是()A.0B.1C.2D.37.=()(A)(B)(C)(D)xyOlogayx31xyOxya31AxyOayx11BxyO()ayx11CxyOlog()ayx31D18.已知f(x)=2sin(ωx+φ)的部分图像如图所示,则f(x)的表达式为()A.f(x)=2sin(x+)B.f(x)=2sin(x+)C.f(x)=2sin(x+)D.f(x)=2sin(x+)9.已知要得到g(x)=sin2x的图像,只需将f(x)=sin(2x-)的图像()A.向右平移个单位B.向左平移个单位C.向右平移个单位D.向左平移个单位10.向量a与b的夹角为120°,|a|=2,|b|=5,则(2a-b)·a=()A.13B.12C.9D.311.已知,,则()A.B.C.D.12.若是奇函数,且在上是增函数,又,则的解集是A.B.C.D.2第II卷(非选择题)二.填空题4*413.圆心角为弧度,半径为6的扇形的面积为.14.若函数2()(2)(1)3fxkxkx是偶函数,则)(xf的递减区间是________15.求值tan20tan403tan20tan40.16.已知函数的最大值为3,最小值为,其图象相邻两条对称轴之间的距离为,则、、的值分别为.三.解答题12*5+1417.(满分12分)设集合.(1)若,求;(2)若,求实数a的范围.18.(满分12分)计算:(Ⅰ)(Ⅱ)已知(其值用表示)19.(满分12分)设向量,,为锐角.(Ⅰ)若,求的值;(Ⅱ)若,求的值.320.(本小题满分10分)已知.(Ⅰ)求的值;(Ⅱ)求的值.21.(满分12分)已知函数f(x)=x2+2ax+2,x∈[﹣5,5].(1)当a=﹣1时,求函数的最大值和最小值;(2)求实数a的取值范围,使y=f(x)在区间[﹣5,5]上是单调函数.22.(满分14分)已知函数是上的奇函数,当0x时,11)(xxf(1)当0x时,求函数的解析式;(2)证明函数在区间上是单调增函数.高一数学参考答案1.D2.C3.A4.B5.B6.B7.D8.B9.B10.A11.A12.D13.14.15.16.4,2,-1.417.(1)(2)【解析】试题分析:(1)中求两集合的并集即两集合的所有元素构成的集合;(2)由得到边界值的大小关系,从而得到关于的不等式,求得的取值范围试题解析:(1)若,则,故(2)若,则解得:考点:集合的并集运算18.(Ⅰ)(Ⅱ)【解析】试题分析:(Ⅰ)指数式的化简主要利用指数运算基本公式,化简时常将底数变化为幂指数形式后整理;(Ⅱ)将利用对数运算公式将真数48转化为用3,4来表示,进而转化为的表达式试题解析:(1)原式(Ⅱ)考点:指数式化简及对数基本运算公式19.(Ⅰ);(Ⅱ).【解析】试题分析:(Ⅰ)本题以向量为背景,实际考察三角函数及三角恒等变换,将向量数量积用坐标表示,求出的值,然后根据,求出的值,从而根据为锐角求出的值;(Ⅱ)根据的坐标表示,可以求出,可以根据同角三角函数基本关系式求出的值,再利用二5倍角公式,求出的值,再将按两角和正弦公式展开,即可而求的值.另外,也可以根据齐次式求出的值,再将按两角和正弦公式展开,从而求的值.注意公式的准确使用.试题解析:(Ⅰ) ,∴.∴又 为锐角,∴.(Ⅱ)法一: ,∴.∴,.∴法二 ,∴.易得,.∴,.∴考点:1.向量平行垂直的坐标表示;2.同角三角函数基本关系式;3.三角恒等变换公式的应用.20.(Ⅰ)(Ⅱ)【解析】试题分析:(Ⅰ)将已知正切式利用两角和的正切公式展开得到关于的方程,解方程可得到的值;6(Ⅱ)利用正余弦的二倍角公式将所求分式转化为关于的齐次方程,分子分母同除以得到正切的代数式,代入(Ⅰ)的结果即可试题解析:(Ⅰ)由,有,解得5分(Ⅱ)10分考点:1.同角间的三角函数公式;2.两角和的正切公式21.(1)[f(x)]max=37,[f(x)]min=1;(2)a≤﹣5或a≥5.【解析】试题分析...

1、当您付费下载文档后,您只拥有了使用权限,并不意味着购买了版权,文档只能用于自身使用,不得用于其他商业用途(如 [转卖]进行直接盈利或[编辑后售卖]进行间接盈利)。
2、本站所有内容均由合作方或网友上传,本站不对文档的完整性、权威性及其观点立场正确性做任何保证或承诺!文档内容仅供研究参考,付费前请自行鉴别。
3、如文档内容存在违规,或者侵犯商业秘密、侵犯著作权等,请点击“违规举报”。

碎片内容

福建省莆田市二十四中高一数学上学期期末考试试题-人教版高一全册数学试题

您可能关注的文档

慧源书店+ 关注
实名认证
内容提供者

从事历史教学,热爱教育,高度负责。

确认删除?
VIP
微信客服
  • 扫码咨询
会员Q群
  • 会员专属群点击这里加入QQ群
客服邮箱
回到顶部