电脑桌面
添加小米粒文库到电脑桌面
安装后可以在桌面快捷访问

福建省南安一中11-12学年高一数学上学期期中试题【会员独享】VIP免费

福建省南安一中11-12学年高一数学上学期期中试题【会员独享】_第1页
1/9
福建省南安一中11-12学年高一数学上学期期中试题【会员独享】_第2页
2/9
福建省南安一中11-12学年高一数学上学期期中试题【会员独享】_第3页
3/9
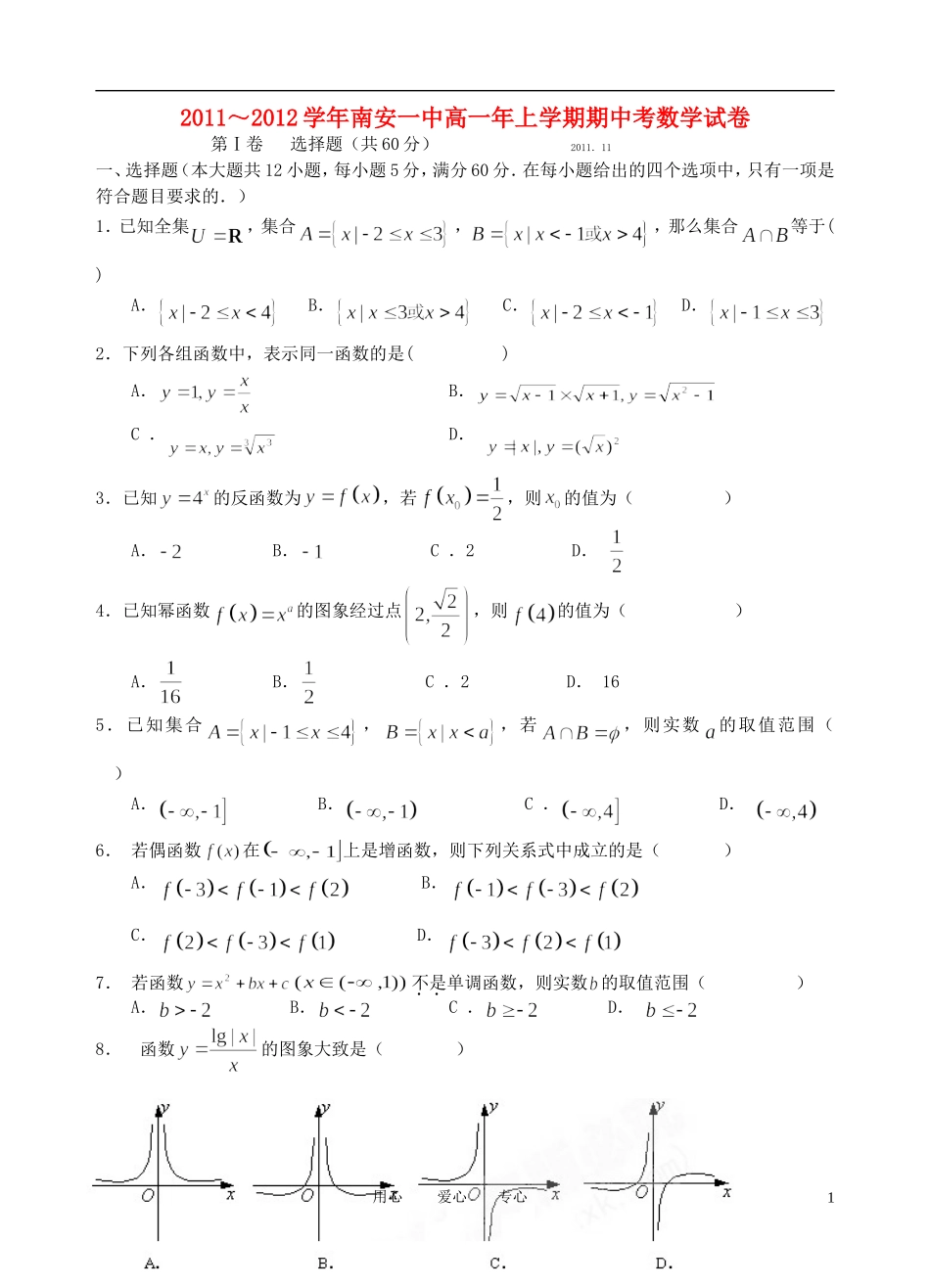
2011~2012学年南安一中高一年上学期期中考数学试卷第Ⅰ卷选择题(共60分)2011.11一、选择题(本大题共12小题,每小题5分,满分60分.在每小题给出的四个选项中,只有一项是符合题目要求的.)1.已知全集,集合,,那么集合等于()A.B.C.D.2.下列各组函数中,表示同一函数的是()A.B.C.D.3.已知的反函数为,若,则的值为()A.B.C.2D.4.已知幂函数的图象经过点,则的值为()A.B.C.2D.165.已知集合,,若,则实数的取值范围()A.B.C.D.6.若偶函数在上是增函数,则下列关系式中成立的是()A.B.C.D.7.若函数不是单调函数,则实数的取值范围()A.B.C.D.8.函数的图象大致是()用心爱心专心19.已知在上是减函数,则的取值范围是()A.(0,1)B.C.D.10.设函数,则满足的的取值范围是()A.B.C.D.11.对于函数,当实数k属于下列选项中的哪一个区间时,才能确保一定存在实数对(),使得当函数的定义域为时,其值域也恰好是,ab()A.B.C.D.12.对于给定的以下四个命题,其中正确命题的个数为()①函数是奇函数;②函数在和都是增函数,若,且则一定有;③函数在上为奇函数,且当时有,则当,;④函数的值域为.A.1B.2C.3D.4第Ⅱ卷非选择题(共90分)二、填空题(本大题共4小题,每小题4分,满分16分.)13.已知集合,则的值为.14.已知函数的图象恒过定点,则点的坐标是.用心爱心专心215.设是定义在上的奇函数,且当时,,则.16.若对于区间内的任意一个自变量,其对应的函数值都属于区间,则称函数在区间上封闭.那么,对于区间,下列函数中在区间上封闭的是.(填写所有符合要求的函数式所对应的序号)①;②;③;④;⑤.三、解答题(本部分共计6小题,满分74分.解答应写出文字说明,证明过程或演算步骤,请在指定区域内作答,否则该题计为零分.)17.(本小题满分12分)(Ⅰ)已知,化简;(Ⅱ)已知,,试用表示.18.(本小题满分12分)设集合,,.求(Ⅰ);(Ⅱ);(Ⅲ)19.(本小题满分12分)对于函数:(Ⅰ)是否存在实数使函数为奇函数?(Ⅱ)探究函数的单调性(不用证明),并求出函数的值域.20.(本小题满分12分)某租赁公司拥有汽车100辆,当每辆车的月租金为3000元时,可全部租出.当每辆车的月租金每增加50元时,未租出的车将会增加一辆.租出的车每辆每月需要维护费150元,未租出的车用心爱心专心3每辆每月需要维护费50元.(Ⅰ)当每辆车的月租金定为3600元时,能租出多少辆车?(Ⅱ)设每辆车的月租金为元(),则能租出多少辆车?当为何值时,租赁公司的月收益最大?最大月收益是多少?21.(本小题满分12分)设函数.(Ⅰ)请在下列直角坐标系中画出函数的图象;(Ⅱ)根据(Ⅰ)的图象,试分别写出关于的方程有2,3,4个实数解时,相应的实数的取值范围;(Ⅲ)记函数的定义域为,若存在,使成立,则称点为函数图象上的不动点.试问,函数图象上是否存在不动点,若存在,求出不动点的坐标,若不存在,请说明理由.22.(本小题满分14分)已知函数是奇函数,且满足(Ⅰ)求实数、的值;(Ⅱ)试证明函数在区间单调递减,在区间单调递增;(Ⅲ)是否存在实数同时满足以下两个条件:①不等式对恒成立;②方程在上有解.若存在,试求出实数的取值范围,若不存在,请说明理由.2011~2012学年南安一中高一年上学期期中考数学试卷答案一、选择题(本大题共12小题,每小题5分,满分60分.)题号123456789101112用心爱心专心4答案CCCBADADBBDB二、填空题(本大题共4小题,每小题4分,满分16分.)13.0;14.;15.-1;16.②④⑤三、解答题(本部分共计6小题,满分74分.解答应写出文字说明,证明过程或演算步骤,请在指定区域内作答,否则该题计为零分.)17.(本小题满分12分)解:(Ⅰ)==……………6分(Ⅱ)……………12分18.(本小题满分12分)解:……………2分……………4分……………6分(Ⅰ)……………8分(Ⅱ)……………10分(Ⅲ),……………12分19.(本小题满分12分)解:(Ⅰ)(解法一)假设存在实数函数是奇函数,因为的定义域为,用心爱心专心5所以,所以……………2分此时,则,所以为奇函...

1、当您付费下载文档后,您只拥有了使用权限,并不意味着购买了版权,文档只能用于自身使用,不得用于其他商业用途(如 [转卖]进行直接盈利或[编辑后售卖]进行间接盈利)。
2、本站所有内容均由合作方或网友上传,本站不对文档的完整性、权威性及其观点立场正确性做任何保证或承诺!文档内容仅供研究参考,付费前请自行鉴别。
3、如文档内容存在违规,或者侵犯商业秘密、侵犯著作权等,请点击“违规举报”。

碎片内容

福建省南安一中11-12学年高一数学上学期期中试题【会员独享】

您可能关注的文档

慧源书店+ 关注
实名认证
内容提供者

从事历史教学,热爱教育,高度负责。

确认删除?
VIP
微信客服
  • 扫码咨询
会员Q群
  • 会员专属群点击这里加入QQ群
客服邮箱
回到顶部