电脑桌面
添加小米粒文库到电脑桌面
安装后可以在桌面快捷访问

高中数学 第二章 平面向量 2.4.2 平面向量数量积的坐标表示、模、夹角课堂达标 新人教A版必修4-新人教A版高一必修4数学试题VIP免费

高中数学 第二章 平面向量 2.4.2 平面向量数量积的坐标表示、模、夹角课堂达标 新人教A版必修4-新人教A版高一必修4数学试题_第1页
1/2
高中数学 第二章 平面向量 2.4.2 平面向量数量积的坐标表示、模、夹角课堂达标 新人教A版必修4-新人教A版高一必修4数学试题_第2页
2/2
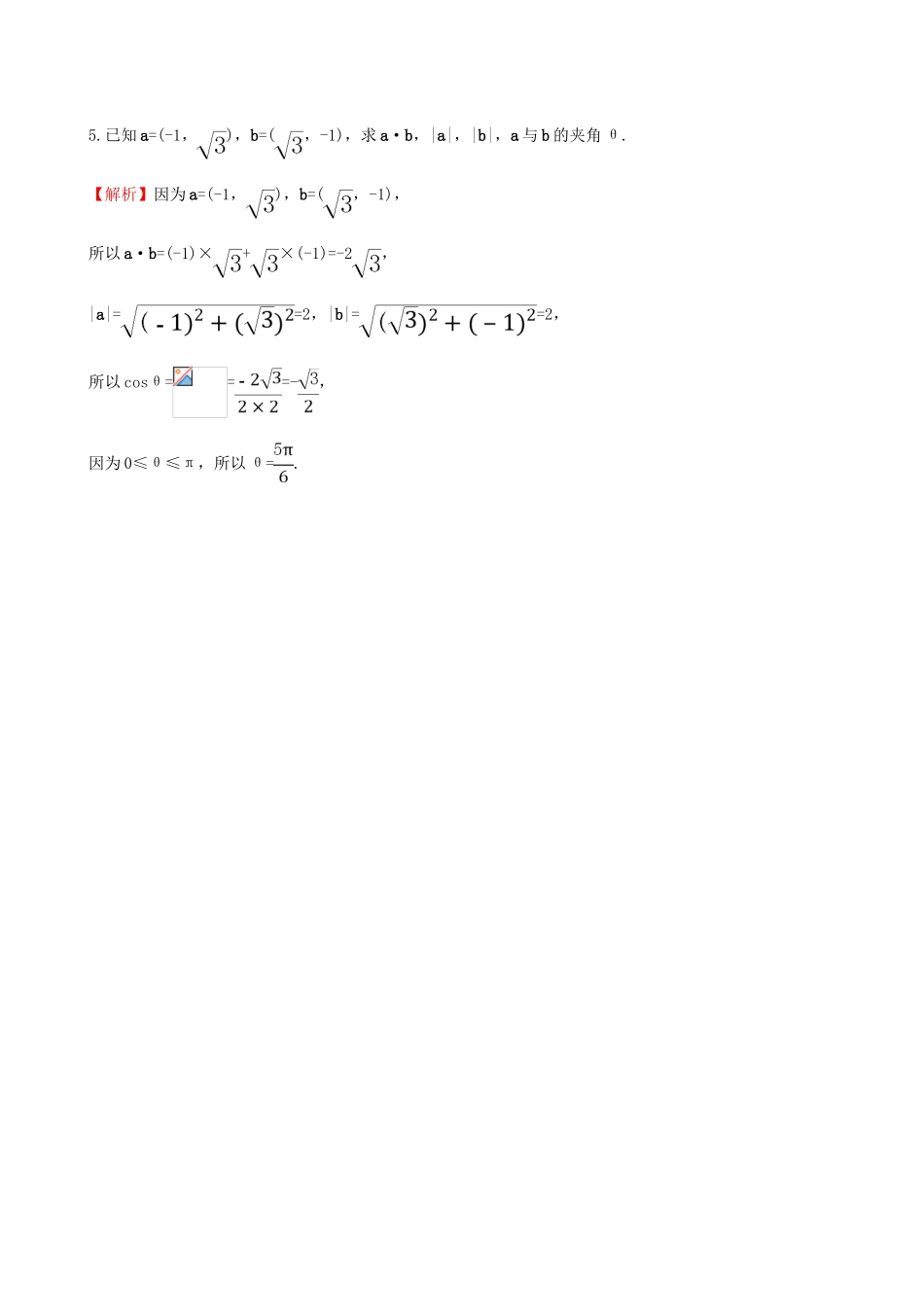
2.4.2平面向量数量积的坐标表示、模、夹角1.已知a=(2,1),b=(5,6),则2|a|2-3a·b=()A.-38B.-48C.38D.48【解析】选A.2|a|2-3a·b=2(22+12)-3(2×5+1×6)=-38.2.a=(2,1),b=(3,4),则向量a在向量b方向上的投影为()A.2B.C.2D.10【解析】选C.因为a=(2,1),b=(3,4),所以向量a在向量b方向上的投影为:|a|·cosθ===2.3.已知a=(3,0),b=(k,5)且a与b的夹角为π,则k=.【解析】因为a=(3,0),b=(k,5),所以a·b=3k,|a|==3,|b|=.又因为a与b的夹角为π,所以cos==.所以=,解得k=±5.又可知k<0,所以k=-5.答案:-54.已知a∥b,且a=(2,1),|b|=2,则b的坐标为.【解析】因为a∥b,a=(2,1),所以设b=λa=λ(2,1)=(2λ,λ),又因为|b|=2,所以(2λ)2+λ2=(2)2,解得λ=±2,所以b=(4,2)或(-4,-2).答案:(4,2)或(-4,-2)5.已知a=(-1,),b=(,-1),求a·b,|a|,|b|,a与b的夹角θ.【解析】因为a=(-1,),b=(,-1),所以a·b=(-1)×+×(-1)=-2,|a|==2,|b|==2,所以cosθ===-,因为0≤θ≤π,所以θ=.

1、当您付费下载文档后,您只拥有了使用权限,并不意味着购买了版权,文档只能用于自身使用,不得用于其他商业用途(如 [转卖]进行直接盈利或[编辑后售卖]进行间接盈利)。
2、本站所有内容均由合作方或网友上传,本站不对文档的完整性、权威性及其观点立场正确性做任何保证或承诺!文档内容仅供研究参考,付费前请自行鉴别。
3、如文档内容存在违规,或者侵犯商业秘密、侵犯著作权等,请点击“违规举报”。

碎片内容

高中数学 第二章 平面向量 2.4.2 平面向量数量积的坐标表示、模、夹角课堂达标 新人教A版必修4-新人教A版高一必修4数学试题

您可能关注的文档

海博书城+ 关注
实名认证
内容提供者

从事历史教学,热爱教育,高度负责。

相关文档

确认删除?
VIP
微信客服
  • 扫码咨询
会员Q群
  • 会员专属群点击这里加入QQ群
客服邮箱
回到顶部