电脑桌面
添加小米粒文库到电脑桌面
安装后可以在桌面快捷访问

高一数学下学期暑假作业(7月31日)-人教版高一全册数学试题VIP免费

高一数学下学期暑假作业(7月31日)-人教版高一全册数学试题_第1页
1/2
高一数学下学期暑假作业(7月31日)-人教版高一全册数学试题_第2页
2/2
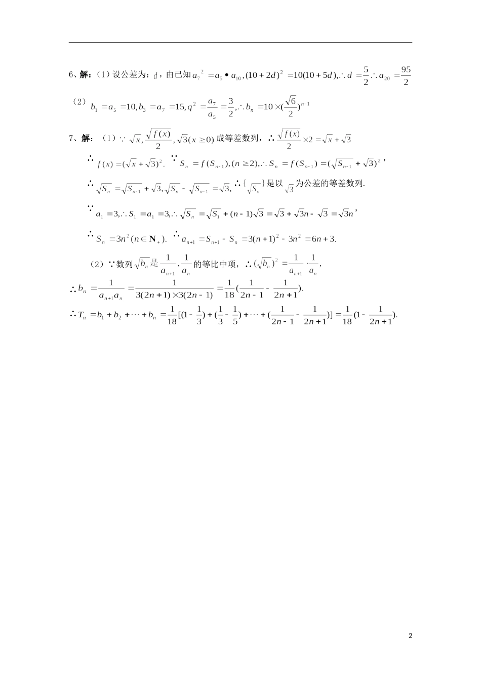
广州市第十七中学2014—2015学年度第二学期高一数学学科假期作业2015年7月31日完成,不超过50分钟,学生姓名,家长签名一、选择题:1.若是等差数列,首项,则使前n项和成立的最大自然数n是()A.4005B.4006C.4007D.40082、下列结论正确的是()(A)当(B)(C)(D)3.若不等式ax2+bx+2>0的解集是{x|-21

1、当您付费下载文档后,您只拥有了使用权限,并不意味着购买了版权,文档只能用于自身使用,不得用于其他商业用途(如 [转卖]进行直接盈利或[编辑后售卖]进行间接盈利)。
2、本站所有内容均由合作方或网友上传,本站不对文档的完整性、权威性及其观点立场正确性做任何保证或承诺!文档内容仅供研究参考,付费前请自行鉴别。
3、如文档内容存在违规,或者侵犯商业秘密、侵犯著作权等,请点击“违规举报”。

碎片内容

高一数学下学期暑假作业(7月31日)-人教版高一全册数学试题

确认删除?
微信客服
  • 扫码咨询
会员Q群
  • 会员专属群点击这里加入QQ群