电脑桌面
添加小米粒文库到电脑桌面
安装后可以在桌面快捷访问

固体物理CH4-习题解答VIP免费

固体物理CH4-习题解答_第1页
1/5
固体物理CH4-习题解答_第2页
2/5
固体物理CH4-习题解答_第3页
3/5
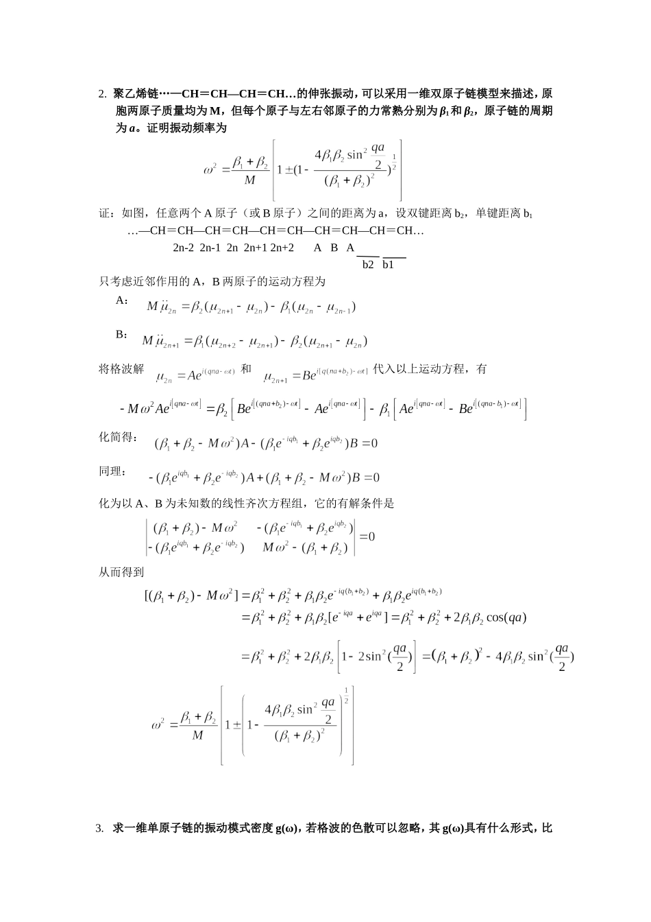
第四章习题试解1.一维单原子晶格,在简谐近似下,考虑每一原子与其余所有原子都有作用,求格波的色散关系。解:设原子质量为m,周期为a,第n个原子偏离平衡位置的位移为μn,第n-k及n+k个原子偏离平衡位置的位移分别为μn-k,μn+k,其与第n个原子间的弹性恢复力系数为β-k,βk。n-kn-1nn+1n+k显然:第n个原子受n-k和n+k原子的合力为:第n个原子受所有原子的合力为:振动的运动学方程可写为:代入振动的格波形式的解有色散关系即为2.聚乙烯链…—CH=CH—CH=CH…的伸张振动,可以采用一维双原子链模型来描述,原胞两原子质量均为M,但每个原子与左右邻原子的力常熟分别为β1和β2,原子链的周期为a。证明振动频率为证:如图,任意两个A原子(或B原子)之间的距离为a,设双键距离b2,单键距离b1…—CH=CH—CH=CH—CH=CH—CH=CH—CH=CH…2n-22n-12n2n+12n+2ABAb2b1只考虑近邻作用的A,B两原子的运动方程为A:B:将格波解和代入以上运动方程,有化简得:同理:化为以A、B为未知数的线性齐次方程组,它的有解条件是从而得到3.求一维单原子链的振动模式密度g(ω),若格波的色散可以忽略,其g(ω)具有什么形式,比较这两者的g(ω)曲线。解:一维情况q空间的密度约化为L/2π,L=Na为单原子链的长度,其中a为原子间距,N为原子数目。则在dq间隔内的振动模式数目为。dω频率间隔内的振动模式数目为等式右边的因子2来源于ω(q)具有中心反演对称,q0﹥和q﹤0区间是完全等价的。从而有对于一维单原子链,只计入最近邻原子之间的相互作用时,有其中ωm为最大频率。代入g(ω)得考虑ω=cq(德拜近似)由q0(德拜近似下),有即则有:(常数)考虑ω=ω0(爱因斯坦近似)显然有4.金刚石(碳原子量为12)的杨氏模量为1012N·m-2,密度ρ=3.5g·cm-3。试估算它的德拜温度ΘD=?解:德拜温度,近似看作弹性介质时,每摩尔原子数目为N=6.02×1023,摩尔质量m=12g,则摩尔体积代入,得ωm=57.97×1013最后得ΘD=4427K5.试用德拜模型求晶体中各声频支格波的零点振动能。解:根据量子理论,各简谐振动的零点能为德拜近似下总零点能为由自由度确定的代回上式中6.一根直径为3mm的人造蓝宝石晶体的热导率,在30K的温度达到一个锐的极大值,试估计此极大值。(蓝宝石在T﹤﹤ΘD=1000K时,cV=10-1T3J·m-3·K-1)解:→ωm=1.31×1014此时声速在λ与晶格常数10-10m近似时约为2.09×103,近似作为平均声速代入热导率7.Na和Cl的原子量分别为23和37。氯化钠立方晶胞边长为0.56nm,在[100]方向可以看做是一组平行的离子链。离子间距d=0.28nm。NaCl晶体的杨氏模量为5×1010N·m-2,如果全反射的光频率与q=0的光频模频率相等,求对应的光波波长。解:当q=0时,光频支频率为杨氏模量,且m故,再同两原子质量一同代入频率式则波长=1.53×10-14m8.立方晶体有三个弹性模量C11,C12和C44。铝的C11=10.82×1010N·m-2,C44=2.85×1010N·m-2,铝沿[100]方向传播的弹性波纵波速度,横波速度,Al的密度ρ=2.70×103kg·m-3。求德拜模型中铝的振动模式密度g(ω)。解:由题条件知,若所考虑的晶体体积为V,则

1、当您付费下载文档后,您只拥有了使用权限,并不意味着购买了版权,文档只能用于自身使用,不得用于其他商业用途(如 [转卖]进行直接盈利或[编辑后售卖]进行间接盈利)。
2、本站所有内容均由合作方或网友上传,本站不对文档的完整性、权威性及其观点立场正确性做任何保证或承诺!文档内容仅供研究参考,付费前请自行鉴别。
3、如文档内容存在违规,或者侵犯商业秘密、侵犯著作权等,请点击“违规举报”。

碎片内容

固体物理CH4-习题解答

您可能关注的文档

文章天下+ 关注
实名认证
内容提供者

各种文档应有尽有

相关文档

确认删除?
VIP
微信客服
  • 扫码咨询
会员Q群
  • 会员专属群点击这里加入QQ群
客服邮箱
回到顶部