电脑桌面
添加小米粒文库到电脑桌面
安装后可以在桌面快捷访问

固体物理答案VIP免费

固体物理答案_第1页
1/12
固体物理答案_第2页
2/12
固体物理答案_第3页
3/12
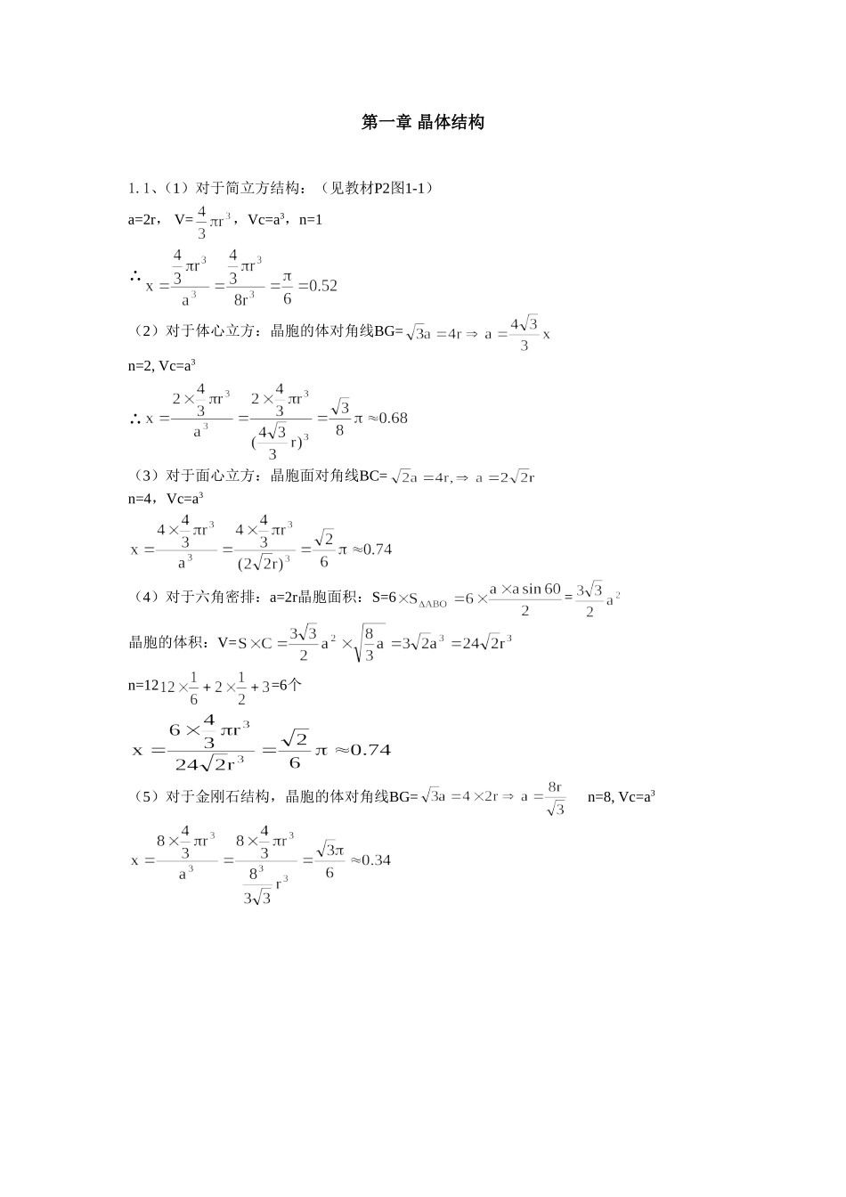
第一章晶体结构1.1、(1)对于简立方结构:(见教材P2图1-1)a=2r,V=,Vc=a3,n=1∴(2)对于体心立方:晶胞的体对角线BG=n=2,Vc=a3∴(3)对于面心立方:晶胞面对角线BC=n=4,Vc=a3(4)对于六角密排:a=2r晶胞面积:S=6=晶胞的体积:V=n=12=6个(5)对于金刚石结构,晶胞的体对角线BG=n=8,Vc=a31.3证明:(1)面心立方的正格子基矢(固体物理学原胞基矢):由倒格子基矢的定义:,同理可得:即面心立方的倒格子基矢与体心立方的正格基矢相同。所以,面心立方的倒格子是体心立方。(2)体心立方的正格子基矢(固体物理学原胞基矢):由倒格子基矢的定义:,同理可得:即体心立方的倒格子基矢与面心立方的正格基矢相同。所以,体心立方的倒格子是面心立方。1.4、1.5、证明倒格子矢量垂直于密勒指数为的晶面系。证明:因为,利用,容易证明所以,倒格子矢量垂直于密勒指数为的晶面系。1.6、对于简单立方晶格,证明密勒指数为的晶面系,面间距满足:,其中为立方边长;并说明面指数简单的晶面,其面密度较大,容易解理。解:简单立方晶格:,由倒格子基矢的定义:,,倒格子基矢:倒格子矢量:,晶面族的面间距:面指数越简单的晶面,其晶面的间距越大,晶面上格点的密度越大,单位表面的能量越小,这样的晶面越容易解理。第二章固体结合2.1、两种一价离子组成的一维晶格的马德隆常数()和库仑相互作用能,设离子的总数为。<解>设想一个由正负两种离子相间排列的无限长的离子键,取任一负离子作参考离子(这样马德隆常数中的正负号可以这样取,即遇正离子取正号,遇负离子取负号),用r表示相邻离子间的距离,于是有前边的因子2是因为存在着两个相等距离的离子,一个在参考离子左面,一个在其右面,故对一边求和后要乘2,马德隆常数为当X=1时,有2.3、若一晶体的相互作用能可以表示为试求:(1)平衡间距;(2)结合能(单个原子的);(3)体弹性模量;(4)若取,计算及的值。解:(1)求平衡间距r0由,有:结合能:设想把分散的原子(离子或分子)结合成为晶体,将有一定的能量释放出来,这个能量称为结合能(用w表示)(2)求结合能w(单个原子的)题中标明单个原子是为了使问题简化,说明组成晶体的基本单元是单个原子,而非原子团、离子基团,或其它复杂的基元。显然结合能就是平衡时,晶体的势能,即Umin即:(可代入r0值,也可不代入)(3)体弹性模量由体弹性模量公式:(4)m=2,n=10,,w=4eV,求α、β①②将,代入①②详解:(1)平衡间距r0的计算晶体内能平衡条件,,(2)单个原子的结合能,,(3)体弹性模量晶体的体积,A为常数,N为原胞数目晶体内能由平衡条件,得体弹性模量(4)若取,,,第三章固格振动与晶体的热学性质3.2、讨论N个原胞的一维双原子链(相邻原子间距为a),其2N个格波解,当=时与一维单原子链的结果一一对应。解:质量为的原子位于2n-1,2n+1,2n+3……;质量为的原子位于2n,2n+2,2n+4……。牛顿运动方程N个原胞,有2N个独立的方程设方程的解,代回方程中得到A、B有非零解,,则两种不同的格波的色散关系一个q对应有两支格波:一支声学波和一支光学波.总的格波数目为2N.当时,两种色散关系如图所示:长波极限情况下,,与一维单原子晶格格波的色散关系一致.3.3、考虑一双子链的晶格振动,链上最近邻原子间的力常数交错地为和,令两种原子质量相等,且最近邻原子间距为。试求在处的,并粗略画出色散关系曲线。此问题模拟如这样的双原子分子晶体。答:(1)浅色标记的原子位于2n-1,2n+1,2n+3……;深色标记原子位于2n,2n+2,2n+4……。第2n个原子和第2n+1个原子的运动方程:体系N个原胞,有2N个独立的方程方程的解:,令,将解代入上述方程得:A、B有非零的解,系数行列式满足:因为、,令得到两种色散关系:当时,,当时,,(2)色散关系图:

1、当您付费下载文档后,您只拥有了使用权限,并不意味着购买了版权,文档只能用于自身使用,不得用于其他商业用途(如 [转卖]进行直接盈利或[编辑后售卖]进行间接盈利)。
2、本站所有内容均由合作方或网友上传,本站不对文档的完整性、权威性及其观点立场正确性做任何保证或承诺!文档内容仅供研究参考,付费前请自行鉴别。
3、如文档内容存在违规,或者侵犯商业秘密、侵犯著作权等,请点击“违规举报”。

碎片内容

固体物理答案

您可能关注的文档

文章天下+ 关注
实名认证
内容提供者

各种文档应有尽有

相关文档

确认删除?
VIP
微信客服
  • 扫码咨询
会员Q群
  • 会员专属群点击这里加入QQ群
客服邮箱
回到顶部