电脑桌面
添加小米粒文库到电脑桌面
安装后可以在桌面快捷访问

高一数学12月检测试题-人教版高一全册数学试题VIP免费

高一数学12月检测试题-人教版高一全册数学试题_第1页
1/7
高一数学12月检测试题-人教版高一全册数学试题_第2页
2/7
高一数学12月检测试题-人教版高一全册数学试题_第3页
3/7
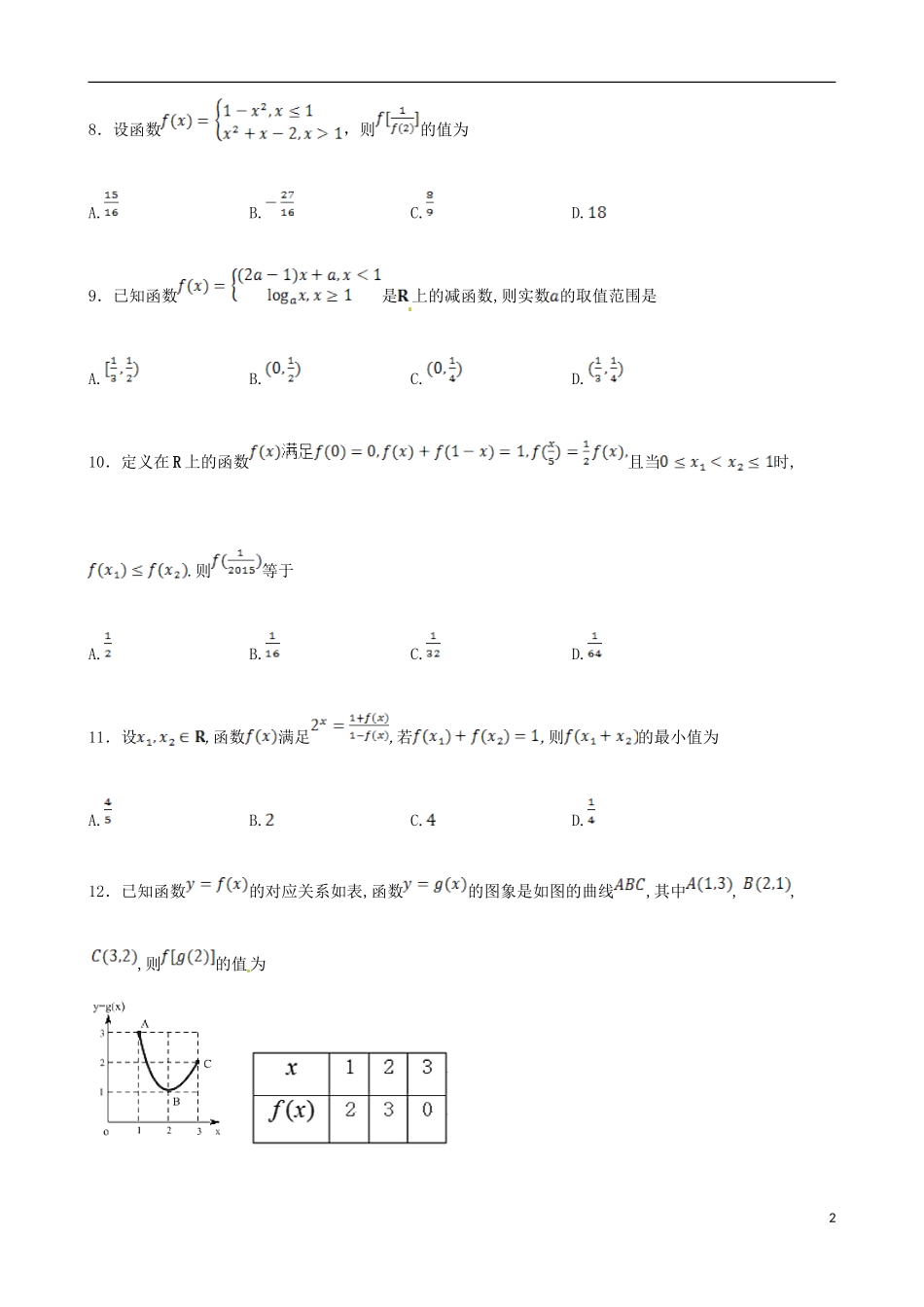
四川省营山县回龙中学2015-2016学年高一12月月考数学试题一、选择题1.已知集合若则实数的取值范围是A.2≤m≤3B.m≤3C.25时,∵函数递减,∴<=3.2(万元).当0≤x≤5时,函数=-0.4(x-4)2+3.6,当x=4时,有最大值为3.6(万元).所以当工厂生产4百台时,可使赢利最大为3.6万元.19.(1)借助数轴可知:A∪B={x|2<x<10}.CRA={x|x<3或x>7}.∴借助数轴可知,(CRA)∩B={x|2<x<3或7<x<10}.(2)∵A∩C=A,∴A⊆C,结合数轴可知a>7.20.(1)原式=(2)原式=21.(1)(2)任设,则6,故在区间上单调递增.22.(Ⅰ)设,则,则∴(Ⅱ),令,则考察函数在的单调性知,当时单调减,当单调增∴当时,有最小值,此时,即时有最小值为.7

1、当您付费下载文档后,您只拥有了使用权限,并不意味着购买了版权,文档只能用于自身使用,不得用于其他商业用途(如 [转卖]进行直接盈利或[编辑后售卖]进行间接盈利)。
2、本站所有内容均由合作方或网友上传,本站不对文档的完整性、权威性及其观点立场正确性做任何保证或承诺!文档内容仅供研究参考,付费前请自行鉴别。
3、如文档内容存在违规,或者侵犯商业秘密、侵犯著作权等,请点击“违规举报”。

碎片内容

高一数学12月检测试题-人教版高一全册数学试题

您可能关注的文档

雨丝书吧+ 关注
实名认证
内容提供者

乐于和他人分享知识,从事历史教学,热爱教育,高度负责。

相关文档

确认删除?
VIP
微信客服
  • 扫码咨询
会员Q群
  • 会员专属群点击这里加入QQ群
客服邮箱
回到顶部