电脑桌面
添加小米粒文库到电脑桌面
安装后可以在桌面快捷访问

成都大学期末考试钢结构计算题VIP免费

成都大学期末考试钢结构计算题_第1页
1/13
成都大学期末考试钢结构计算题_第2页
2/13
成都大学期末考试钢结构计算题_第3页
3/13
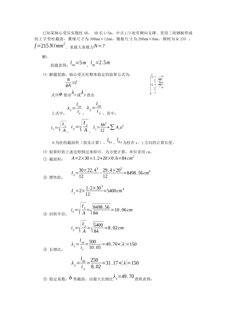
图示焊接工字形截面轴压柱,在柱1/3处有两个M20的C级螺栓孔,并在跨中有一侧向支撑,试验算该柱的强度、整体稳定?已知:钢材Q235AF,A=6500mm2,ix=119.2mm,iy=63.3mm,fy=215N/mm2,F=1000kN。解:λx=Loxix=6000119.2=50.34,查表ϕx=0.855λy=Loyiy=300063.3=47.39An=6500−21.5×10×2=6070mm2NϕxA=1000×1030.855×6500=180N/mm20.6(2分)ϕb'=1.07−0.2823.40=0.987(1分)Mxϕb'Wx=1200×1060.987×4.17×106=291.6Nmm20.6ϕb'=1.07−0.282ϕb=1.07−0.2823.35=0.986Mxϕb'Wx=900×1060.986×5218×103=175N/mm2<f=215N/mm2满足试验算图示压弯构件弯矩作用平面外的整体稳定性,钢材为Q235,F=900kN,(设计值),偏心距e1=150mm,e2=100mm,βtx=0.65+0.35M2M1,ϕb=1.07−λy244000×fy235≤1.0,跨中翼缘上有一侧向支撑E=206×103N/mm2,f=2...

1、当您付费下载文档后,您只拥有了使用权限,并不意味着购买了版权,文档只能用于自身使用,不得用于其他商业用途(如 [转卖]进行直接盈利或[编辑后售卖]进行间接盈利)。
2、本站所有内容均由合作方或网友上传,本站不对文档的完整性、权威性及其观点立场正确性做任何保证或承诺!文档内容仅供研究参考,付费前请自行鉴别。
3、如文档内容存在违规,或者侵犯商业秘密、侵犯著作权等,请点击“违规举报”。

碎片内容

成都大学期末考试钢结构计算题

您可能关注的文档

确认删除?
VIP
微信客服
  • 扫码咨询
会员Q群
  • 会员专属群点击这里加入QQ群
客服邮箱
回到顶部