电脑桌面
添加小米粒文库到电脑桌面
安装后可以在桌面快捷访问

人教2011版小学数学三年级长方形与正方形面积计算-(3)VIP免费

人教2011版小学数学三年级长方形与正方形面积计算-(3)_第1页
1/2
人教2011版小学数学三年级长方形与正方形面积计算-(3)_第2页
2/2
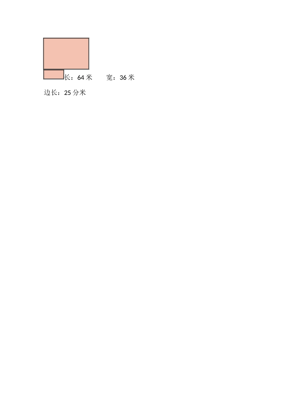
长方形、正方形面积的计算作业设计一、填空。1、长方形长是12厘米,宽是8厘米,面积是()。2、将一块面积为120平方分米的台布平均切成5块小长方形台布,每块台布的面积是()。3、周长16厘米的正方形面积是()。4、一个长方形与一个正方形的周长相等,已知长方形的长是16分米,宽是12分米,这个正方形的面积是()平方分米。二、判断题。1、两个周长相等的长方形,面积也一定相等。()2、两个周长相等的正方形,面积也一定相等。()3、正方形的面积越大,边长越长。()4、当周长相等时,正方形的面积总比长方形面积大。()5、一个正方形的边长扩大2倍,周长就扩大2倍,面积也扩大2倍。()三、求下面图形的周长和面积。长:64米宽:36米边长:25分米

1、当您付费下载文档后,您只拥有了使用权限,并不意味着购买了版权,文档只能用于自身使用,不得用于其他商业用途(如 [转卖]进行直接盈利或[编辑后售卖]进行间接盈利)。
2、本站所有内容均由合作方或网友上传,本站不对文档的完整性、权威性及其观点立场正确性做任何保证或承诺!文档内容仅供研究参考,付费前请自行鉴别。
3、如文档内容存在违规,或者侵犯商业秘密、侵犯著作权等,请点击“违规举报”。

碎片内容

人教2011版小学数学三年级长方形与正方形面积计算-(3)

中小学文库+ 关注
实名认证
内容提供者

精品资料应用尽有

相关文档

确认删除?
VIP
微信客服
  • 扫码咨询
会员Q群
  • 会员专属群点击这里加入QQ群
客服邮箱
回到顶部