电脑桌面
添加小米粒文库到电脑桌面
安装后可以在桌面快捷访问

应用回归分析_第2章课后习题参考答案VIP免费

应用回归分析_第2章课后习题参考答案_第1页
1/45
应用回归分析_第2章课后习题参考答案_第2页
2/45
应用回归分析_第2章课后习题参考答案_第3页
3/45
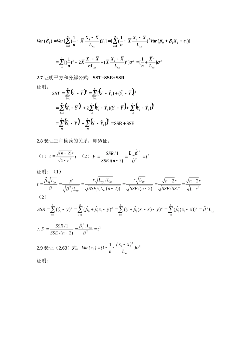
第二章一元线性回归分析思考与练习参考答案2.1一元线性回归有哪些基本假定?答:假设1、解释变量X是确定性变量,Y是随机变量;假设2、随机误差项ε具有零均值、同方差和不序列相关性:E(εi)=0i=1,2,…,nVar(εi)=s2i=1,2,…,nCov(εi,εj)=0i≠ji,j=1,2,…,n假设3、随机误差项ε与解释变量X之间不相关:Cov(Xi,εi)=0i=1,2,…,n假设4、ε服从零均值、同方差、零协方差的正态分布εi~N(0,s2)i=1,2,…,n2.2考虑过原点的线性回归模型Yi=β1Xi+εii=1,2,…,n误差εi(i=1,2,…,n)仍满足基本假定。求β1的最小二乘估计解:得:2.3证明(2.27式),Sei=0,SeiXi=0。证明:niiiniXYYYQ121021))ˆˆ(()ˆ(其中:即:Sei=0,SeiXi=02.4回归方程E(Y)=β0+β1X的参数β0,β1的最小二乘估计与最大似然估计在什么条件下等价?给出证明。答:由于εi~N(0,s2)i=1,2,…,n所以Yi=β0+β1Xi+εi~N(β0+β1Xi,s2)最大似然函数:使得Ln(L)最大的,就是β0,β1的最大似然估计值。同时发现使得Ln(L)最大就是使得下式最小,niiiniXYYYQ121021))ˆˆ(()ˆ(上式恰好就是最小二乘估计的目标函数相同。值得注意的是:最大似然估计是在εi~N(0,s2)的假设下求得,最小二乘估计则不要求分布假设。所以在εi~N(0,s2)的条件下,参数β0,β1的最小二乘估计与最大似然估计等价。2.5证明是β0的无偏估计。证明:2.6证明证明:2.7证明平方和分解公式:SST=SSE+SSR证明:2.8验证三种检验的关系,即验证:(1);(2)证明:(1)(2)2.9验证(2.63)式:证明:其中:2.10用第9题证明2ˆ22neis是s2的无偏估计量证明:2.11验证决定系数与F值之间的关系式证明:2.14为了调查某广告对销售收入的影响,某商店记录了5个月的销售收入y(万元)和广告费用x(万元),数据见表2.6,要求用手工计算:表2.6月份12345X12345Y1010202040(1)画散点图(略)(2)X与Y是否大致呈线性关系?答:从散点图看,X与Y大致呈线性关系。(3)用最小二乘法估计求出回归方程。计算表XY1104100206(-14)2(-4)221011001013(-7)2(3)2320000200042010027727254044004034142(-6)2和15100和Lxx=10Lyy=600和Lxy=70和100SSR=490SSE=110均3均20均20回归方程为:(4)求回归标准误差先求SSR(Qe)见计算表。所以(5)给出的置信度为95%的区间估计;由于(1-a)的置信度下,的置信区间是查表可得所以的95%的区间估计为:(7—3.182*1.915,7+3.182*1.915),即(0.906,13.094)。所以的95%的区间估计为:(-1-3.182*6.351,-1+3.182*6.351),即(-21.211,19.211)。的置信区间包含0,表示不显著。(6)计算x和y的决定系数说明回归方程的拟合优度高。(7)对回归方程作方差分析方差分析表方差来源平方和自由度均方F值SSR490149013.364SSE110336.667SST6004F值=13.364>F0.05(1,3)=10.13(当n=1,n=8时,α=0.05查表得对应的值为10.13),所以拒绝原假设,说明回归方程显著。(8)做回归系数β1的显著性检验H0:β1=0t值=3.656>t0.05/2(3)=3.182,所以拒绝原假设,说明x对Y有显著的影响。(8)做相关系数R的显著性检验R值=0.904>R0.05(3)=0.878,所以接受原假设,说明x和Y有显著的线性关系。(9)对回归方程作残差图并作相应的分析残差图(略).从残差图上看出,残差是围绕e=0在一个固定的带子里随机波动,基本满足模型的假设ei~N(0,s2),但由于样本量太少,所以误差较大.(10)求广告费用为4.2万元时,销售收入将达到多少?并给出置信度为95%的置信区间.解:当X0=4.2时,所以广告费用为4.2万元时,销售收入将达到28.4万元.由于置信度为1-α时,Y0估计值的置信区间为:00202ˆ000ˆ0ˆˆYYYYStYYStYaa所以求得Y0的95%的置信区间为:[6.05932,50.74068]预测误差较大.2.15一家保险公司十分关心其总公司营业部加班的制度,决定认真调查一下现状经过十周时间,收集了每周加班工作时间的数据和签发的新保单数目,x为每周新签发的保单数目,y为每周加班工作时间(小时)。见表2.7。表2..7周序号12345678910X825215107055048092013503256701215Y3.51.04.02.01.03.04.51.53.05.01、画散点图1400120010008006...

1、当您付费下载文档后,您只拥有了使用权限,并不意味着购买了版权,文档只能用于自身使用,不得用于其他商业用途(如 [转卖]进行直接盈利或[编辑后售卖]进行间接盈利)。
2、本站所有内容均由合作方或网友上传,本站不对文档的完整性、权威性及其观点立场正确性做任何保证或承诺!文档内容仅供研究参考,付费前请自行鉴别。
3、如文档内容存在违规,或者侵犯商业秘密、侵犯著作权等,请点击“违规举报”。

碎片内容

应用回归分析_第2章课后习题参考答案

您可能关注的文档

起跑线书城+ 关注
实名认证
内容提供者

热爱教学事业,对互联网知识分享很感兴趣

确认删除?
VIP
微信客服
  • 扫码咨询
会员Q群
  • 会员专属群点击这里加入QQ群
客服邮箱
回到顶部