电脑桌面
添加小米粒文库到电脑桌面
安装后可以在桌面快捷访问

高二数学选修4-5 利用平均不等式求最大(小)值VIP免费

高二数学选修4-5 利用平均不等式求最大(小)值_第1页
1/6
高二数学选修4-5 利用平均不等式求最大(小)值_第2页
2/6
高二数学选修4-5 利用平均不等式求最大(小)值_第3页
3/6
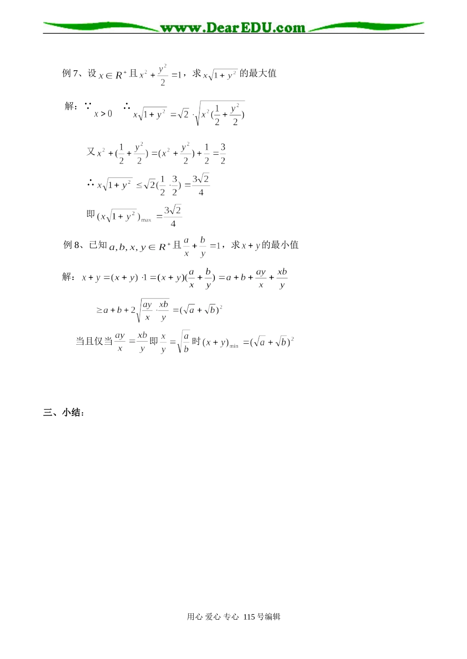
rhaOA高二数学选修4-5利用平均不等式求最大(小)值目的要求:重点难点:教学过程:一、引入:1、重要的结论:已知x,y都是正数,则:(1)、如果积xy是定值P,那么当x=y时,和x+y有最小值;(2)、如果和x+y是定值S,那么当x=y时,积xy有最大值。二、典型例题:例1、当取什么值时,函数有最小值?最小值是多少?例2、求函数()的最小值。例3、小宁在某电脑城配置了一台总费用为6400元的电脑。假定在电脑的使用过程中,每年的维修费用约为:第一年为200元,第二年400元,第三年600元,…,按等差数列递增。这台电脑使用多少年报废最合算?分析:例4、如图,电灯挂在圆桌的正中央上方。假定它与桌面上A点的水平距离是,那么电灯距离桌面的高度等于多少时,A点处最亮?(亮度公式:,这里为常数,是电灯到照射点的距离,是照射到某点的光线与水平面所成的角)分析:用心爱心专心115号编辑例5、求函数的最大值,下列解法是否正确?为什么?解一:∴解二:当即时答:以上两种解法均有错误。解一错在取不到“=”,即不存在使得;解二错在不是定值(常数)正确的解法是:当且仅当即时例6、若,求的最值。解:∵∴从而即。用心爱心专心115号编辑例7、设且,求的最大值解:∵∴又∴即例8、已知且,求的最小值解:当且仅当即时三、小结:用心爱心专心115号编辑四、练习:1.求下列函数的最值:1、(min=6)2、()2.1、时求的最小值,的最小值2、设,求的最大值(5)3、若,求的最大值4、若且,求的最小值3.若,求证:的最小值为34.制作一个容积为的圆柱形容器(有底有盖),问圆柱底半径和高各取多少时,用料最省?(不计加工时的损耗及接缝用料)五、作业:1、将一块边长为的正方形铁皮,剪去四个角(四个全等的正方形),作成一个无盖的铁盒,要使其容积最大,剪去的小正方形的边长为多少?最大容积是多少?解:设剪去的小正方形的边长为则其容积为当且仅当即时取“=”用心爱心专心115号编辑即当剪去的小正方形的边长为时,铁盒的容积为2、某种汽车购买时的费用是10万元,每年的保险费、养路费及汽油费合计为9千元;汽车的维修费平均为:第一年2千元,第二年4千元,第三年6千元,依等差数列逐年递增。问这种汽车使用多少年报废最合算(即年平均费用最少)?解:设这种汽车使用n年报废最合算n年汽车的维修总费用为(万元)年平均费用y=当且仅当即n=10时取等号。答:这种汽车使用10年报废最合算。3、设计一幅宣传画,要求画面面积为4840cm2,画面的宽与高的比为λ(λ>1),画面的上、下各留8cm的空白,左、右各留5cm的空白。怎样确定画面的高与宽尺才,能使宣传画所用纸张面积最小?(2001年全国文科高考题)解:设画面的宽为xcm,则画面的高为cm,设纸张面积为SS=当且仅当x=,即x=55cm,此时高答:画面高为88cm,宽为55cm时,能使所用纸张面积最小。评注:在应用均值不等式解决这类实际问题时,应注意:①设变量,一般把要求最大值和最小值的变量设为函数;②建立相应的函数关系式,把实际问题抽象为函数的最值问题;③在定义域内,求函数的最大值或最小值;正确写出答案。用心爱心专心115号编辑用心爱心专心115号编辑

1、当您付费下载文档后,您只拥有了使用权限,并不意味着购买了版权,文档只能用于自身使用,不得用于其他商业用途(如 [转卖]进行直接盈利或[编辑后售卖]进行间接盈利)。
2、本站所有内容均由合作方或网友上传,本站不对文档的完整性、权威性及其观点立场正确性做任何保证或承诺!文档内容仅供研究参考,付费前请自行鉴别。
3、如文档内容存在违规,或者侵犯商业秘密、侵犯著作权等,请点击“违规举报”。

碎片内容

高二数学选修4-5 利用平均不等式求最大(小)值

您可能关注的文档

雨丝书吧+ 关注
实名认证
内容提供者

乐于和他人分享知识,从事历史教学,热爱教育,高度负责。

相关文档

确认删除?
VIP
微信客服
  • 扫码咨询
会员Q群
  • 会员专属群点击这里加入QQ群
客服邮箱
回到顶部