电脑桌面
添加小米粒文库到电脑桌面
安装后可以在桌面快捷访问

高一数学 第二讲 二次函数教案VIP免费

高一数学 第二讲 二次函数教案_第1页
1/4
高一数学 第二讲 二次函数教案_第2页
2/4
高一数学 第二讲 二次函数教案_第3页
3/4
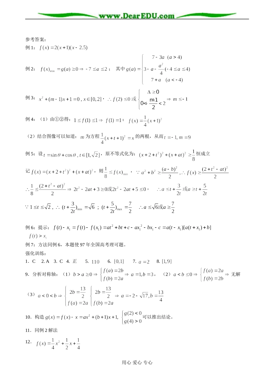
高一数学第二讲二次函数一、基础知识:1.二次函数的解析式(1)一般式:(2)顶点式:,顶点为(3)两根式:(4)三点式:2.二次函数的图像和性质(1)的图像是一条抛物线,顶点坐标是,对称轴方程为,开口与有关。(2)单调性:当时,在上为减函数,在上为增函数;时相反。(3)奇偶性:当时,为偶函数;若对恒成立,则为的对称轴。(4)最值:当时,的最值为,当时,的最值可从中选取;当时,的最值可从中选取。常依轴与区间的位置分类讨论。3.三个二次之间的关联及根的分布理论:二次方程的区间根问题,一般情况需要从三个方面考虑:判别式、区间端点函数值的符号;对称轴与区间端点的关系。二、综合应用:例1:已知二次函数的图像经过三点,求的解析式。例2:已知,若时,恒成立,求的取值范围。例3:集合,,若,求实数的取值范围。例4:设满足条件:(1)当时,,(2)当,(3)在R上的最小值为0。①求的解析式;②求最大的使得存在,只要就有。例5:求实数的取值范围,使得对于任意实数和任意实数,恒有。用心爱心专心例6:已知函数,方程的两根是,又若,试比较的大小。例7:设,方程的两个根满足,(1)当时,证明;(2)设的图像关于直线对称,证明三、强化训练:1.二次函数满足,且又两个实根,则等于()A.0B3C.6D.122.已知,并且是方程的两根,则实数的大小关系可能是()3.已知函数上有最大值3,最小值2,则的取值范围是()4.设函数,若则的值的符号是________________5.已知对于一切实数都成立,则______6.已知的值域是R,则实数的取值范围是______________________7.函数的递增区间为,则实数的值是______________8.设实数满足,则实数_____________________9.若函数在区间上的最大值为,最小值为,求区间。10.设,方程的两个根,若,设的对称轴为,求证11.已知,求的最小值的表达式,并求的最大值。12.是否存在二次函数,同时满足:(1);(2)对于一切都有?若存在,写出满足条件的函数的解析式;若不存在,说明理由。13.设,当时,,求证:适合的最小实数A的值为8。14.若,求证:方程,(1)有两个异号实根;(2)正根必小于,负根必大于用心爱心专心参考答案:例1:例2:;其中例3:,例4:(1)由①②得:;(2)结合图像可以知道:为方程的两根,从而例5:设,原不等式化为:恒成立记,则,,例6:提示:例7:方法同例6,本题使97年全国高考理可题。强化训练:1.C2.A3.C4.正5.6.7.8.9.分析对称轴:(1),(2)无解(3)10.构造可以推出结论。11.同例2解法12.用心爱心专心13.,所以A的最小值为814.略用心爱心专心

1、当您付费下载文档后,您只拥有了使用权限,并不意味着购买了版权,文档只能用于自身使用,不得用于其他商业用途(如 [转卖]进行直接盈利或[编辑后售卖]进行间接盈利)。
2、本站所有内容均由合作方或网友上传,本站不对文档的完整性、权威性及其观点立场正确性做任何保证或承诺!文档内容仅供研究参考,付费前请自行鉴别。
3、如文档内容存在违规,或者侵犯商业秘密、侵犯著作权等,请点击“违规举报”。

碎片内容

高一数学 第二讲 二次函数教案

您可能关注的文档

雨丝书吧+ 关注
实名认证
内容提供者

乐于和他人分享知识,从事历史教学,热爱教育,高度负责。

确认删除?
VIP
微信客服
  • 扫码咨询
会员Q群
  • 会员专属群点击这里加入QQ群
客服邮箱
回到顶部