电脑桌面
添加小米粒文库到电脑桌面
安装后可以在桌面快捷访问

高二数学理科北师大版选修4-4同步课件:2.4平摆线与渐开线课后作业(共15张PPT)VIP免费

高二数学理科北师大版选修4-4同步课件:2.4平摆线与渐开线课后作业(共15张PPT)_第1页
1/15
高二数学理科北师大版选修4-4同步课件:2.4平摆线与渐开线课后作业(共15张PPT)_第2页
2/15
高二数学理科北师大版选修4-4同步课件:2.4平摆线与渐开线课后作业(共15张PPT)_第3页
3/15
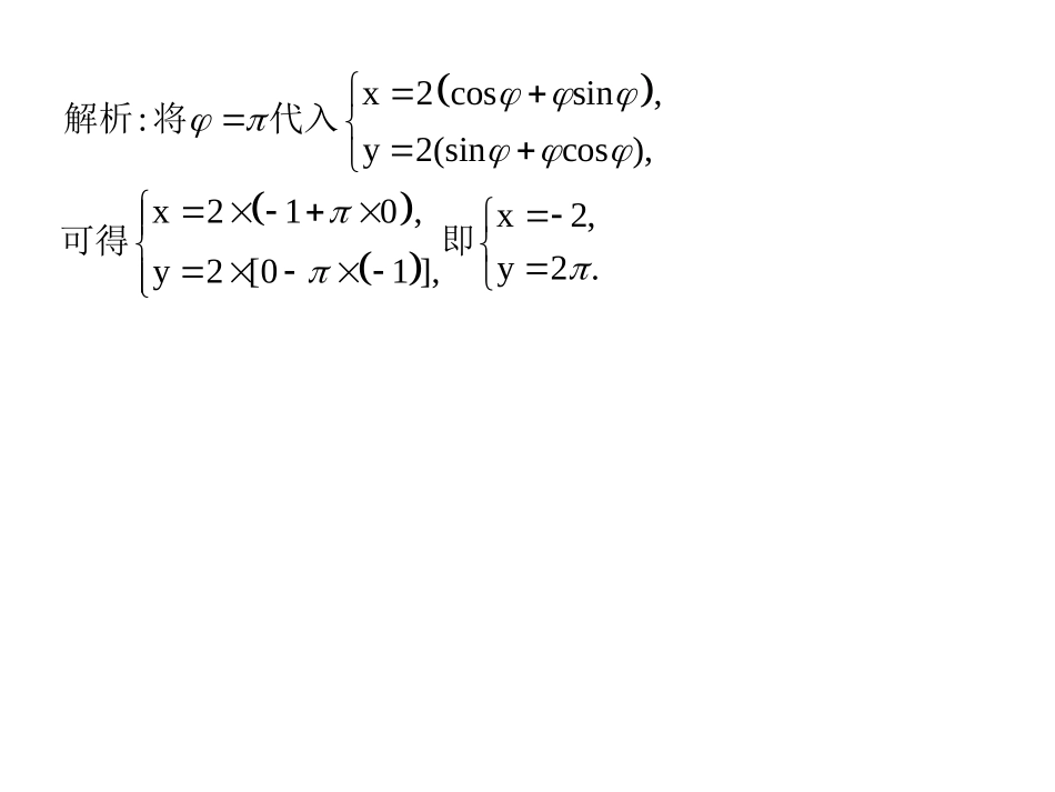
§4平摆线与渐开线课后作业1.圆的渐开线方程为(φ为参数),当φ=π时,渐开线上的对应点的坐标为()A.(-2,2π)B.(-2,π)C.(4,2π)D.(-4,2π)答案:A(),()x2cossiny2sincosx2cossin,:y2(sincos),x210,x2,y2.y2[01],解析将代入可得即x3cos,2.()3,2)22.1.223.10,y3.12sinAB(ABCD已知一个圆的参数方程为为参数那么圆的摆线方程中与参数对称的点与之间的距离为答案:C:,3,x3sin,(),y3(1cos)23(1),1),3).223,10.A(3(ABxy解析根据圆的参数方程可知圆的半径为则它的摆线参数方程为为参数把代入参数方程为即3.已知圆O的半径为5,则圆的平摆线的参数方程为________.x5sin,:(,R)y5(1cos)答案为参数4.已知圆O的半径为2,则圆的渐开线的参数方程为________.x2cossin,:()y2(sincos)答案为参数5.已知圆O的渐开线方程为(φ为参数),则基圆的面积为________.答案:9π解析:由题知基圆的半径为3,S=πr∴2=9π.(),()x3cossiny3sincosx2sin,6.O(y2(1cos),R),,A___.2_____已知圆的平摆线的参数方程为为参数当时所对应点的坐标为答案:(π-2,2)2,:A222212,,22.y2xsincos解析7.x3cos,y3sin(),A,B(3,2),22AB.已知一个圆的参数方程是为参数圆的平摆线方程中参数所对应的点为又求:,3.x3sin,(),31,223.33,3.y3(1cos),A2xy解析由圆的参数方程可知圆的半径为其平摆线的参数方程为为参数把代入得22333(32)10.22AB8.渐开线方程为(φ为参数)的基圆的圆心在原点,把基圆的横坐标伸长为原来的2倍得到曲线C,求曲线C的方程,及焦点坐标.解析:由渐开线方程可知基圆的半径为6,则圆的方程为x2+y2=36.把横坐标伸长到原来的2倍,得到椭圆方程+y2=36,即对应的焦点坐标为和(),()x6cossiny6sincos24x221,14436xy(63,0)(63,0).9.已知圆的半径为1,其渐开线的标准参数方程对应的曲线上两点A、B对应的参数分别是和π,求A、B两点的坐标.2:1,xcossin,().ysincos解析圆的半径为渐开线的参数方程为为参数,222221,2,A(xcossin1,,22,1B(1,).ysi).2ncos,xcossinysincos当时当时

1、当您付费下载文档后,您只拥有了使用权限,并不意味着购买了版权,文档只能用于自身使用,不得用于其他商业用途(如 [转卖]进行直接盈利或[编辑后售卖]进行间接盈利)。
2、本站所有内容均由合作方或网友上传,本站不对文档的完整性、权威性及其观点立场正确性做任何保证或承诺!文档内容仅供研究参考,付费前请自行鉴别。
3、如文档内容存在违规,或者侵犯商业秘密、侵犯著作权等,请点击“违规举报”。

碎片内容

高二数学理科北师大版选修4-4同步课件:2.4平摆线与渐开线课后作业(共15张PPT)

您可能关注的文档

确认删除?
VIP
微信客服
  • 扫码咨询
会员Q群
  • 会员专属群点击这里加入QQ群
客服邮箱
回到顶部