电脑桌面
添加小米粒文库到电脑桌面
安装后可以在桌面快捷访问

心血管内科急危重症抢救流程图 2VIP免费

心血管内科急危重症抢救流程图 2_第1页
1/11
心血管内科急危重症抢救流程图 2_第2页
2/11
心血管内科急危重症抢救流程图 2_第3页
3/11
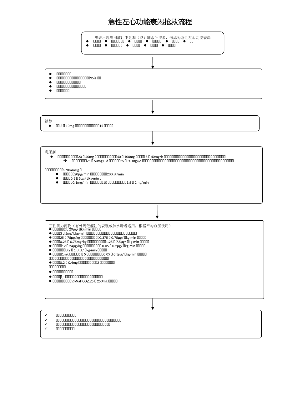
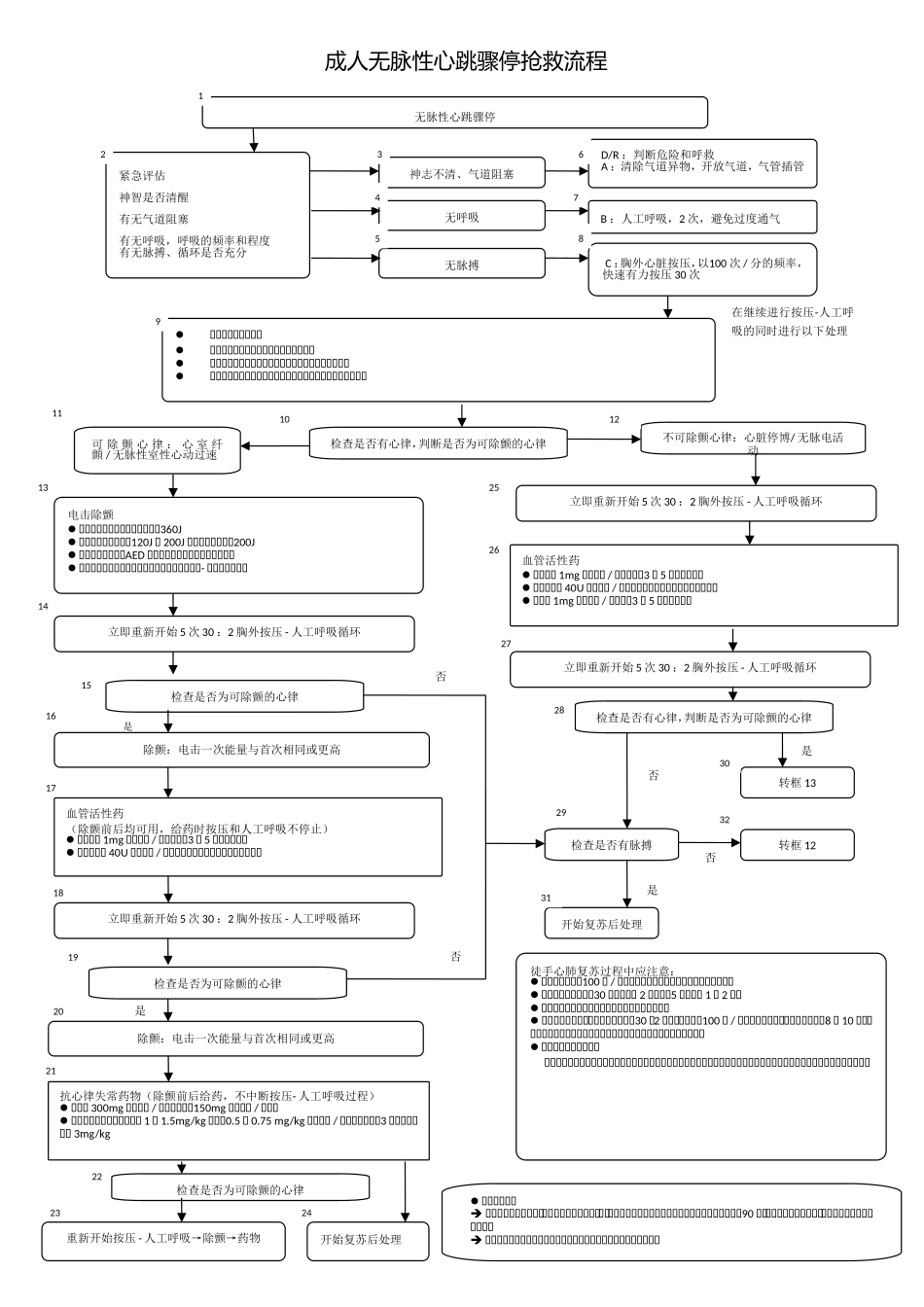
2322否是是28272624141718立即重新开始5次30:2胸外按压-人工呼吸循环2021在继续进行按压-人工呼吸的同时进行以下处理成人无脉性心跳骤停抢救流程无脉性心跳骤停紧急评估神智是否清醒有无气道阻塞有无呼吸,呼吸的频率和程度有无脉搏、循环是否充分神志不清、气道阻塞无呼吸无脉搏D/R:判断危险和呼救A:清除气道异物,开放气道,气管插管B:人工呼吸,2次,避免过度通气C:胸外心脏按压,以100次/分的频率,快速有力按压30次置置置置置置置置置置置置置置置置置置置置置置置置置置置置置置置置置置置置置置置置置置置置置置置置置置置置置置置置置置置置置置置置置置置置置置置置置置置置置置可除颤心律:心室纤顫/无脉性室性心动过速检查是否有心律,判断是否为可除颤的心律不可除颤心律:心脏停博/无脉电活动立即重新开始5次30:2胸外按压-人工呼吸循环电击除颤置置置置置置置置置置置置置置360J置置置置置置置置置120J置200J置置置置置置置置200J置置置置置置置置AED置置置置置置置置置置置置置置置置置置置置置置置置置置置置置置置置置置置置-置置置置置置置血管活性药置置置置1mg置置置置/置置置置置3置5置置置置置置置置置置置40U置置置置/置置置置置置置置置置置置置置置置置置置置1mg置置置置/置置置置3置5置置置置置置立即重新开始5次30:2胸外按压-人工呼吸循环检查是否为可除颤的心律除颤:电击一次能量与首次相同或更高血管活性药(除颤前后均可用,给药时按压和人工呼吸不停止)置置置置1mg置置置置/置置置置置3置5置置置置置置置置置置置40U置置置置/置置置置置置置置置置置置置置置置置检查是否为可除颤的心律除颤:电击一次能量与首次相同或更高抗心律失常药物(除颤前后给药,不中断按压-人工呼吸过程)置置置300mg置置置置/置置置置置置150mg置置置置/置置置置置置置置置置置置置置置1置1.5mg/kg置置置0.5置0.75mg/kg置置置置/置置置置置置置3置置置置置置置3mg/kg检查是否为可除颤的心律重新开始按压-人工呼吸→除颤→药物开始复苏后处理立即重新开始5次30:2胸外按压-人工呼吸循环检查是否有心律,判断是否为可除颤的心律检查是否有脉搏开始复苏后处理转框13转框12徒手心肺复苏过程中应注意:置置置置置置置100置/置置置置置置置置置置置置置置置置置置置置置置置置置置置置置30置置置置置2置置置置5置置置置1置2置置置置置置置置置置置置置置置置置置置置置置置置置置置置置置置置置置置置置置置置30置2置置置置置置置100置/置置置置置置置置置置置置置置置8置10置置置置置置置置置置置置置置置置置置置置置置置置置置置置置置置置置置置置置置置置置置置置置置置置置置置置置置置置置置置置置置置置置置置置置置置置置置置置置置置置置置置置置置置置置置置置置置置置置置置置置置置置置置置置置置置置置置置置置置置置置置置置置置置置置置置置置置置置置置置置置置置置置置置置置置90置置置置置置置置置置置置置置置置置置置置置置置置置置置置置置置置置置置置置置置置置置置置置置置置置置置置置置置123456789101112131516192529303231是是否否否急性左心功能衰竭抢救流程患者出现周围灌注不足和(或)肺水肿征象,考虑为急性左心功能衰竭置置置置置置置置置置置置置置置置置置置置置置置置置置置置置置置置置置置置置置置置置置置置置置置置镇静置置3置10mg置置置置置置置置置置置置置15置置置置置利尿剂置置置置置置置置置置置20置40mg置置置置置置置置置置置置40置100mg置置置置置5置40mg/h置置置置置置置置置置置置置置置置置置置置置置置置置置置置置置置置置置置置置置置置置25置50mgBid置置置置置置25置50mgQd置置置置置置置置置置置置置置置置置置置置置置置置置置置置置置置置置置置置置置置置置置置置置置置置置置置置置置置置置置置>70mmHg置置置置置置置20µg/min置置置置置置置置置200µg/min置置置置0.3置5µg/置kg·min置置置置置置0.1mg/min置置置置置置置10置置置置置置置置置置1.5置2mg/min正性肌力药物(有外周低灌注的表现或肺水肿者适用,根据...

1、当您付费下载文档后,您只拥有了使用权限,并不意味着购买了版权,文档只能用于自身使用,不得用于其他商业用途(如 [转卖]进行直接盈利或[编辑后售卖]进行间接盈利)。
2、本站所有内容均由合作方或网友上传,本站不对文档的完整性、权威性及其观点立场正确性做任何保证或承诺!文档内容仅供研究参考,付费前请自行鉴别。
3、如文档内容存在违规,或者侵犯商业秘密、侵犯著作权等,请点击“违规举报”。

碎片内容

心血管内科急危重症抢救流程图 2

您可能关注的文档

确认删除?
VIP
微信客服
  • 扫码咨询
会员Q群
  • 会员专属群点击这里加入QQ群
客服邮箱
回到顶部