电脑桌面
添加小米粒文库到电脑桌面
安装后可以在桌面快捷访问

高考数学一轮复习 2.4指数函数教案-人教版高三全册数学教案VIP免费

高考数学一轮复习 2.4指数函数教案-人教版高三全册数学教案_第1页
1/5
高考数学一轮复习 2.4指数函数教案-人教版高三全册数学教案_第2页
2/5
高考数学一轮复习 2.4指数函数教案-人教版高三全册数学教案_第3页
3/5
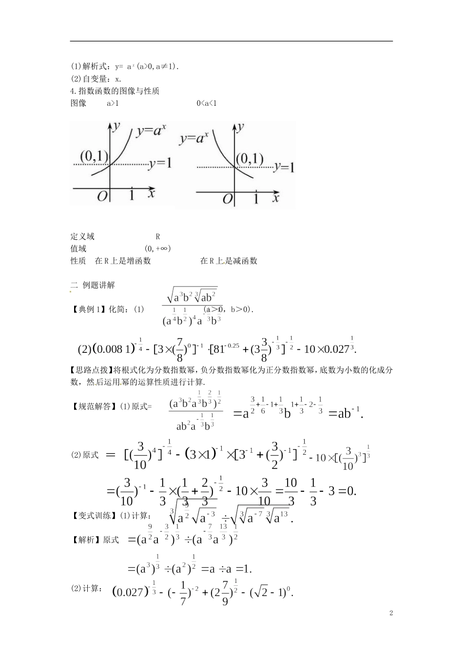
第四节指数函数教学目标:知识与技能:了解指数函数模型的实际意义,理解有理数幂的含义,掌握指数运算,理解指数函数概念及函数的性质过程与方法:通过指数函数的概念,会画指数函数的图象,利用图象掌握指数函数的性质情感、态度与价值观:教学过程中,要让学生充分体验数形结合思想,感受图形的形状及函数的单调性教学重点:指数函数的图象及性质教学难点:利用指数函数的性质研究函数教具:多媒体、实物投影仪教学过程:一、复习引入:1.根式(1)根式的概念:①若x=a,则x叫做a的n次方根,其中n>1且n∈N*.式子叫做根式,这里n叫做根指数,a叫做被开方数.②a的n次方根的表示:(2)根式的性质:①(n∈N*).2.有理数指数幂(1)分数指数幂的意义:①正分数指数幂:②负分数指数幂:③0的正分数指数幂等于0,0的负分数指数幂没有意义。(2)有理数指数幂的运算性质:①aa=____(a>0,r,s∈Q);②(a)=___(a>0,r,s∈Q);③(ab)=____(a>0,b>0,r∈Q).上述有理数指数幂的运算性质,对于无理数指数幂也适用.3.指数函数的概念1(1)解析式:y=a(a>0,a≠1).(2)自变量:x.4.指数函数的图像与性质图像a>10

1、当您付费下载文档后,您只拥有了使用权限,并不意味着购买了版权,文档只能用于自身使用,不得用于其他商业用途(如 [转卖]进行直接盈利或[编辑后售卖]进行间接盈利)。
2、本站所有内容均由合作方或网友上传,本站不对文档的完整性、权威性及其观点立场正确性做任何保证或承诺!文档内容仅供研究参考,付费前请自行鉴别。
3、如文档内容存在违规,或者侵犯商业秘密、侵犯著作权等,请点击“违规举报”。

碎片内容

高考数学一轮复习 2.4指数函数教案-人教版高三全册数学教案

您可能关注的文档

确认删除?
微信客服
  • 扫码咨询
会员Q群
  • 会员专属群点击这里加入QQ群