电脑桌面
添加小米粒文库到电脑桌面
安装后可以在桌面快捷访问

上海交大附中2012017学年高二12月月考数学试题版含答案VIP免费

上海交大附中2012017学年高二12月月考数学试题版含答案_第1页
1/4
上海交大附中2012017学年高二12月月考数学试题版含答案_第2页
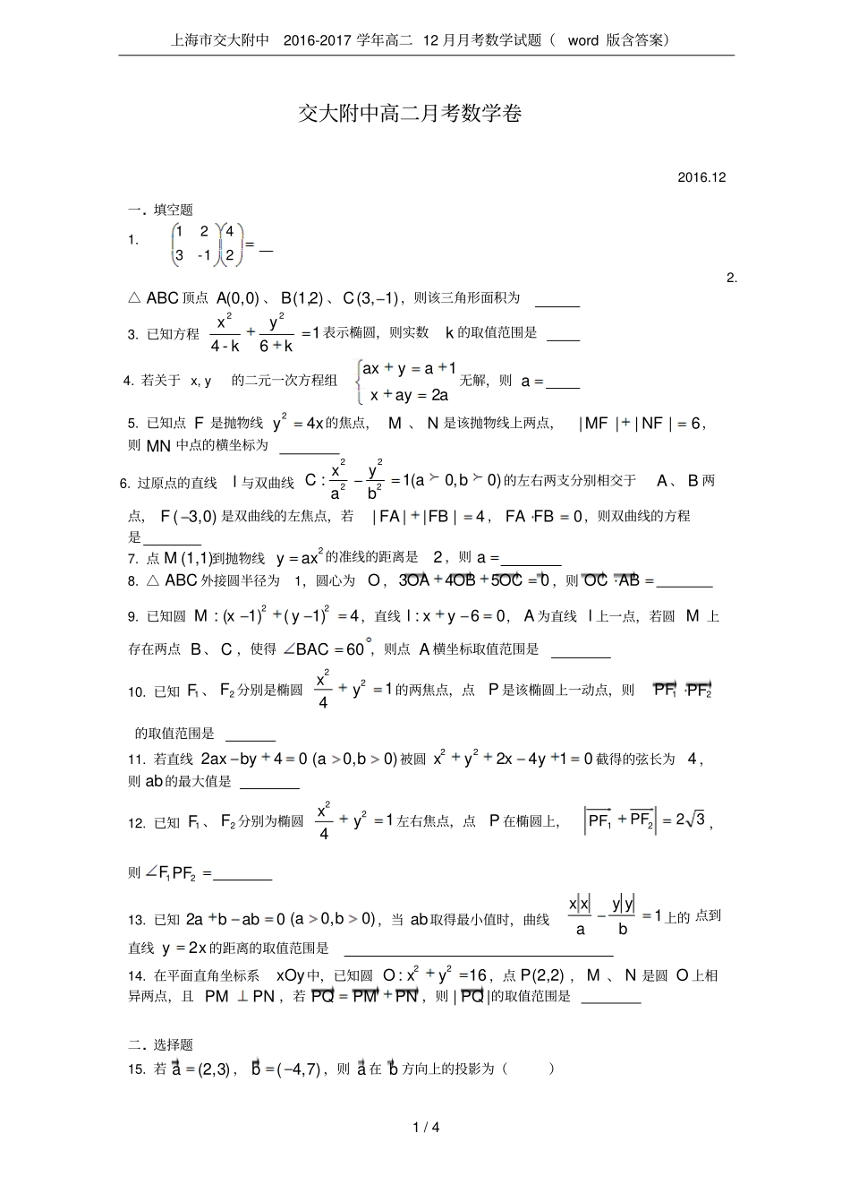
2/4
上海交大附中2012017学年高二12月月考数学试题版含答案_第3页
3/4
上海市交大附中2016-2017学年高二12月月考数学试题(word版含答案)1/4交大附中高二月考数学卷2016.12一.填空题1.241-3212.△ABC顶点A(0,0)、B(1,2)、C(3,1),则该三角形面积为3.已知方程16-422kykx表示椭圆,则实数k的取值范围是4.若关于x,y的二元一次方程组aayxayax21无解,则a5.已知点F是抛物线y24x的焦点,M、N是该抛物线上两点,|MF||NF|6,则MN中点的横坐标为6.过原点的直线l与双曲线)0,0(1:2222babyaxC的左右两支分别相交于A、B两点,F(3,0)是双曲线的左焦点,若|FA||FB|4,FAFB0,则双曲线的方程是7.点M(1,1)到抛物线yax2的准线的距离是2,则a8.△ABC外接圆半径为1,圆心为O,3OA4OB5OC0,则OCAB9.已知圆M:(x1)2(y1)24,直线l:xy60,A为直线l上一点,若圆M上存在两点B、C,使得BAC60,则点A横坐标取值范围是10.已知F1、F2分别是椭圆1422yx的两焦点,点P是该椭圆上一动点,则PF1PF2的取值范围是11.若直线2axby40(a0,b0)被圆x2y22x4y10截得的弦长为4,则ab的最大值是12.已知F1、F2分别为椭圆1422yx左右焦点,点P在椭圆上,32PF21PF,则F1PF213.已知2abab0(a0,b0),当ab取得最小值时,曲线1byyaxx上的点到直线xy2的距离的取值范围是14.在平面直角坐标系xOy中,已知圆O:x2y216,点P(2,2),M、N是圆O上相异两点,且PMPN,若PQPMPN,则|PQ|的取值范围是二.选择题15.若a(2,3),b(4,7),则a在b方向上的投影为()上海市交大附中2016-2017学年高二12月月考数学试题(word版含答案)2/4A.3B.513C.565D.6516.已知过定点P(2,0)的直线l与曲线2-2xy相交于A、B两点,O为坐标原点,当△AOB的面积取到最大值时,直线l的倾斜角为()A.150B.135C.120D.不存在17.已知双曲线)0,0(1:2222babyaxC的左右焦点分别为F1、F2,点O为双曲线的中心,点P在双曲线右支上,△PF1F2内切圆的圆心为Q,圆Q与x轴相切于点A,过F2作直线PQ的垂线,垂足为B,则下列结论中成立的是()A.|OA||OB|B.|OA||OB|C.|OA||OB|D.|OA|、|OB|大小关系不确定18.若椭圆)0(1:112122121babyaxC和椭圆)0(1:222222222babyaxC的焦点相同,且a1a2,给出如下四个结论:①椭圆C1和椭圆C2一定没有公共点;②2121bbaa③a1a2b1b2;④a1a2b1b2;其中,所有正确结论的序号是()A.①③B.①③④C.①②④D.②③④三.解答题19.已知x,y满足约束条件03201yxyx,当目标函数zaxby(a0,b0)在该约束条件下取到最小值25时,求a2b2最小值;20.已知△ABC的三边长|AB|13,1,4ACBC,动点M满足CBCACM,且41。(1)求cosACB;(2)求|CM|最小值;21.双曲线)0,0(1:2222babyaxE(1)点A1(a,0)、A2(a,0),动点P在E上,作A1QA1P,A2QA2P,求点Q的轨上海市交大附中2016-2017学年高二12月月考数学试题(word版含答案)3/4迹方程;(2)点M(x0,y0)、N(x0,y0)为E上定点,点P为E上动点,作MPMQ,NPNQ,求Q的轨迹方程;22.两圆C1:x2y2D1xE1yF10(圆心C1,半径r1),与C2:x2y2D2xE2yF20(圆心C2,半径r2)不是同心圆,方程相减(消去二次项)得到的直线l:(D1D2)x(E1E2)yF1F20叫做圆C1与圆C2的根轴;(1)求证:当C1与C2相交于A,B两点时,AB所在直线为根轴l;(2)对根轴上任意点P,求证:2121rPC2222rPC(3)设根轴l与C1C2交于点H,|C1C2|d,求证:H分C1C2的比2221222212rrdrrd23.已知椭圆)0(1:2222babyaxE上动点P、Q,O为原点;(1)若|OP|2|OQ|2a2b2,求证:OQOPkk为定值;(2)点B(0,b),若BPBQ,求证:直线PQ过定点;(3)若OPOQ,求证:直线PQ为定圆的切线;上海市交大附中2016-2017学年高二12月月考数学试题(word版含答案)4/400参考答案一.填空题1.1082.273.)(),(4,1-1-6-4.15.26.1222yx7.121或418.519.[1,5]10.[2,1]11.112.213.]362,0(14.[2622,2622]二.选择题15.C16.A17.C18.B三.解答题19.4;20.(1)21(2)321.(1)a2x2b2y2a4;(2)a2x2b2y2a2x2b2y2;22.略;23.略;

1、当您付费下载文档后,您只拥有了使用权限,并不意味着购买了版权,文档只能用于自身使用,不得用于其他商业用途(如 [转卖]进行直接盈利或[编辑后售卖]进行间接盈利)。
2、本站所有内容均由合作方或网友上传,本站不对文档的完整性、权威性及其观点立场正确性做任何保证或承诺!文档内容仅供研究参考,付费前请自行鉴别。
3、如文档内容存在违规,或者侵犯商业秘密、侵犯著作权等,请点击“违规举报”。

碎片内容

上海交大附中2012017学年高二12月月考数学试题版含答案

文库当当响+ 关注
实名认证
内容提供者

该用户很懒,什么也没介绍

确认删除?
VIP
微信客服
  • 扫码咨询
会员Q群
  • 会员专属群点击这里加入QQ群
客服邮箱
回到顶部