电脑桌面
添加小米粒文库到电脑桌面
安装后可以在桌面快捷访问

两角和差的正弦、余弦、正切_二倍角同步练习1VIP免费

两角和差的正弦、余弦、正切_二倍角同步练习1_第1页
1/4
两角和差的正弦、余弦、正切_二倍角同步练习1_第2页
2/4
两角和差的正弦、余弦、正切_二倍角同步练习1_第3页
3/4
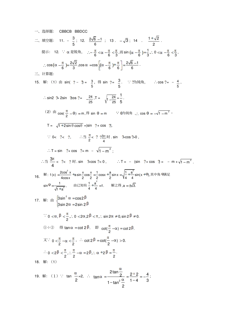
高一数学期末复习(3)——两角和差的正弦、余弦、正切·二倍角说明:本试卷分第一卷和第二卷两部分,共150分;答题时间120分钟.第I卷(共50分)一、选择题(每小题5分,共50分.在每小题给出的四个选项中,仅有一个选项是正确的)1.化简)sin()sin()cos()cos(γββαγββα为()A.)2sin(γβαB.)sin(γαC.)cos(γαD.)2cos(γβα2.已知3tanα,则αααα22cos9cossin4sin2的值为()A.3B.1021C.31D.3013.已知sin4sin),4,4(,542则的值为()A.2524B.-2524C.54D.2574.函数xy2sin是()A.最小正周期为2π的偶函数B.最小正周期为2π的奇函数C.最小正周期为π的偶函数D.最小正周期为π的奇函数5.已知sincos=83,且4<<2,则cos-sin的值为()A.21B.21C.41D.216.已知+=3,则coscos–3sincos–3cossin–sinsin的值为()A.–22B.–1C.1D.–27.若tan(+)=3,tan(-)=5,则tan2=()A.74B.-74C.21D.-218.已知sin-cos=sin·cos,则sin2的值为()A.2-1B.1-2C.2-22D.22-29.设)4tan(,41)4tan(,52)tan(则的值是()A.1813B.2213C.223D.6110.已知、均为锐角,且cos(+)<0,则下列结论一定成立的是()A.cos>cosB.sin>sinC.sin>cosD.cos>sin第Ⅱ卷(非选择题,共100分)二、填空题(每小题4分,共16分。把正确答案填写在题中的横线上,或按题目要求作答。)11.若cos2=53,则sin4–cos4=.12.若是锐角,且1sin63,则cos的值是.13.50tan70tan350tan70tan=.14.函数xxxycossincos2的最大值是.三、计算题(共84分.要求写出必要的文字说明、主要方程式和重要演算步骤。)15.设T=2sin1.(1)已知sin(–)=53,为钝角,求T的值;(2)已知cos(2–)=m,为钝角,求T的值.16.若函数)2cos(2sin)2sin(42cos1)(xxaxxxf的最大值为1,试确定常数a的值.17.已知,为锐角,且1sin2sin322,2,02sin22sin3试求的值.18.若锐角求且满足,35)sin(,713tantan,:(1))cos(;(2))cos(.19.已知tan2=2,求:(1)tan()4的值;(2)6sincos3sin2cos的值.20.若A、B、C是△ABC的内角,cosB=21,sinC=53,求cosA的值.参考答案一、选择题:CBBCBBBDCC二、填空题:11.–53;12.2616;13.3;14.221.提示:12.∵是锐角,1,sin,0,6636363而22261cos,coscos63666.三、计算题:15.解:(1)由sin(–)=53,得sin=53.∵为钝角,∴cos=–54,∴sin2=2sincos=2524,T=25241=51.(2)由21cos,sin,)2cos(mmm为钝角得,T=θcosθsin21=|sin+cos|,∵0<<,∴当2<4π3时.sin+cos>0,∴T=sin+cos=m–2m1;∴当43<<时.sin+cos<0,∴T=–(sin+cos)=–m+2m1.16.22222cos11:()sincoscossinsin(),4cos22224411sin,1.,3.441xxxaafxaxxxxaaa解其中角满足由已知有解之得17.解:由2sin22sin32cossin32∵.02sin,02sin,2,20,2,0①÷②得.2cottan即.2cot)2cot(又∵220,∴.0)2cot(2cot∴22,22,220.18.解:(1)19.解:(1)∵tan2=2,∴22tan2242tan1431tan2;所以tantantan14tan()41tan1tantan4=41134713;(2)由(1),tanα=-34,所以6sincos3sin2cos=6tan13tan2=46()173463()23.20.解:∵cosB=21,∴sinB=23,又sinC=53,cosC=±54,若cosC=-54,则角C是钝角,角B为锐角,π-C为锐角,而sin(π-C)=53,sinB=23,于是sin(π-C)π-C,B+C>π,矛盾,∴cosC≠-54,cosC=54,CBA故:cosA=-cos(B+C)=-(cosBcosC-sinBsinC)=10433.

1、当您付费下载文档后,您只拥有了使用权限,并不意味着购买了版权,文档只能用于自身使用,不得用于其他商业用途(如 [转卖]进行直接盈利或[编辑后售卖]进行间接盈利)。
2、本站所有内容均由合作方或网友上传,本站不对文档的完整性、权威性及其观点立场正确性做任何保证或承诺!文档内容仅供研究参考,付费前请自行鉴别。
3、如文档内容存在违规,或者侵犯商业秘密、侵犯著作权等,请点击“违规举报”。

碎片内容

两角和差的正弦、余弦、正切_二倍角同步练习1

您可能关注的文档

文库响当当+ 关注
实名认证
内容提供者

该用户很懒,什么也没介绍

确认删除?
VIP
微信客服
  • 扫码咨询
会员Q群
  • 会员专属群点击这里加入QQ群
客服邮箱
回到顶部