电脑桌面
添加小米粒文库到电脑桌面
安装后可以在桌面快捷访问

人教A版高中数学高三一轮计数原理与概率、随机变量及其分布96几何概型练习【教师版】VIP免费

人教A版高中数学高三一轮计数原理与概率、随机变量及其分布96几何概型练习【教师版】_第1页
1/5
人教A版高中数学高三一轮计数原理与概率、随机变量及其分布96几何概型练习【教师版】_第2页
2/5
人教A版高中数学高三一轮计数原理与概率、随机变量及其分布96几何概型练习【教师版】_第3页
3/5
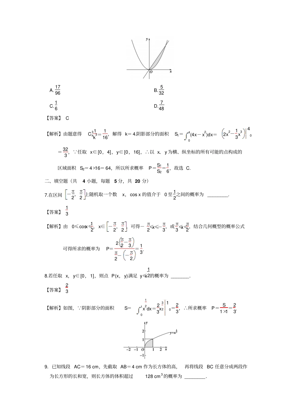
高三一轮第九章计数原理与概率、随机变量及其分布9.6几何概型(检测教师版)时间:50分钟总分:70分班级:姓名:一、选择题(共6小题,每题5分,共30分)1.如图,矩形长为6,宽为4,在矩形内随机地撒300颗黄豆,数得落在椭圆外的黄豆数为96,以此实验数据为依据可以估计出椭圆的面积约为()A.16.32B.15.32C.8.68D.7.68【答案】A【解析】设椭圆的面积为S,则S4×6=300-96300,故S=16.32.2.设p在[0,5]上随机地取值,则关于x的方程x2+px+1=0有实数根的概率为()A.15B.25C.35D.45【答案】C【解析】方程有实根,则Δ=p2-4≥0,解得p≥2或p≤-2(舍去),故所求概率为P=5-25-0=35,故选C.3.已知一只蚂蚁在边长分别为5,12,13的三角形的边上随机爬行,则其恰在离三个顶点的距离都大于1的地方的概率为()A.45B.35C.π60D.π3【答案】A【解析】由题意可知,三角形的三条边长的和为5+12+13=30,而蚂蚁要在离三个顶点的距离都大于1的地方爬行,则它爬行的区域长度为3+10+11=24,根据几何概型的概率计算公式可得所求概率为2430=45.4.设不等式组x+y≤2,x-y≥-2,y≥0所表示的区域为M,函数y=1-x2的图象与x轴所围成的区域为N,向M内随机投一个点,则该点落在N内的概率为()A.2πB.π4C.π8D.π16【答案】B【解析】如图,不等式组x+y≤2,x-y≥-2,y≥0表示的区域M为△ABC及其内部,函数y=1-x2的图象与x轴所围成的区域N为阴影部分,易知区域M的面积为2,区域N的面积为π2,由几何概型的概率公式知所求概率为π22=π4.5.在△ABC中,∠ABC=60°,AB=2,BC=6,在BC上任取一点D,使△ABD为钝角三角形的概率为()A.16B.13C.12D.23【答案】C【解析】如图,过点A作AH⊥BC,垂足为H,则在Rt△AHB中,BH=AB·cos60°=2cos60°=1;过点A作AM⊥AB,交BC于点M,则在Rt△ABM中,BM=ABcos60°=4,故MC=BC-BM=2.由图可知,要使△ABD为钝角三角形,则点D只能在线段BH或线段MC上选取,故所求事件的概率P=1+26=12,故选C.6.设k是一个正整数,已知1+xkk的展开式中第四项的系数为116,函数y=x2与y=kx的图象所围成的区域如图中阴影部分所示,任取x∈[0,4],y∈[0,16],则点(x,y)恰好落在阴影部分内的概率为()A.1796B.532C.16D.748【答案】C【解析】由题意得C3k1k3=116,解得k=4.阴影部分的面积S1=04(4x-x2)dx=2x2-13x340=323, 任取x∈[0,4],y∈[0,16],∴以x、y为横、纵坐标的所有可能的点构成的区域面积S2=4×16=64,所以所求概率P=S1S2=16,故选C.二、填空题(共4小题,每题5分,共20分)7.在区间-π2,π2上随机取一个数x,cosx的值介于0至12之间的概率为________.【答案】13【解析】由0≤cosx≤12,x∈-π2,π2,可得-π2≤x≤-π3,或π3≤x≤π2,结合几何概型的概率公式可得所求的概率为P=2π2-π3π2--π2=13.8.若任取x,y∈[0,1],则点P(x,y)满足y≤x12的概率为_______.【答案】23【解析】如图, 阴影部分的面积S=01x12dx=23x3210=23,∴所求概率P=S1×1=23.9.已知线段AC=16cm,先截取AB=4cm作为长方体的高,再将线段BC任意分成两段作为长方形的长和宽,则长方体的体积超过128cm3的概率为________.【答案】13【解析】依题意,设长方体的长为xcm,则相应的宽为(12-x)cm,由4x(12-x)>128,得x2-12x+32<0,得40的概率为________.【答案】e-2【解析】由已知得f′(x)=1-lnxx2,x∈[2,3],故f′(x)>0?1-lnxx2>0,解得2

1、当您付费下载文档后,您只拥有了使用权限,并不意味着购买了版权,文档只能用于自身使用,不得用于其他商业用途(如 [转卖]进行直接盈利或[编辑后售卖]进行间接盈利)。
2、本站所有内容均由合作方或网友上传,本站不对文档的完整性、权威性及其观点立场正确性做任何保证或承诺!文档内容仅供研究参考,付费前请自行鉴别。
3、如文档内容存在违规,或者侵犯商业秘密、侵犯著作权等,请点击“违规举报”。

碎片内容

人教A版高中数学高三一轮计数原理与概率、随机变量及其分布96几何概型练习【教师版】

爱的疯狂+ 关注
实名认证
内容提供者

该用户很懒,什么也没介绍

确认删除?
微信客服
  • 扫码咨询
会员Q群
  • 会员专属群点击这里加入QQ群