电脑桌面
添加小米粒文库到电脑桌面
安装后可以在桌面快捷访问

制药化工原理课后习题答案VIP免费

制药化工原理课后习题答案_第1页
1/17
制药化工原理课后习题答案_第2页
2/17
制药化工原理课后习题答案_第3页
3/17
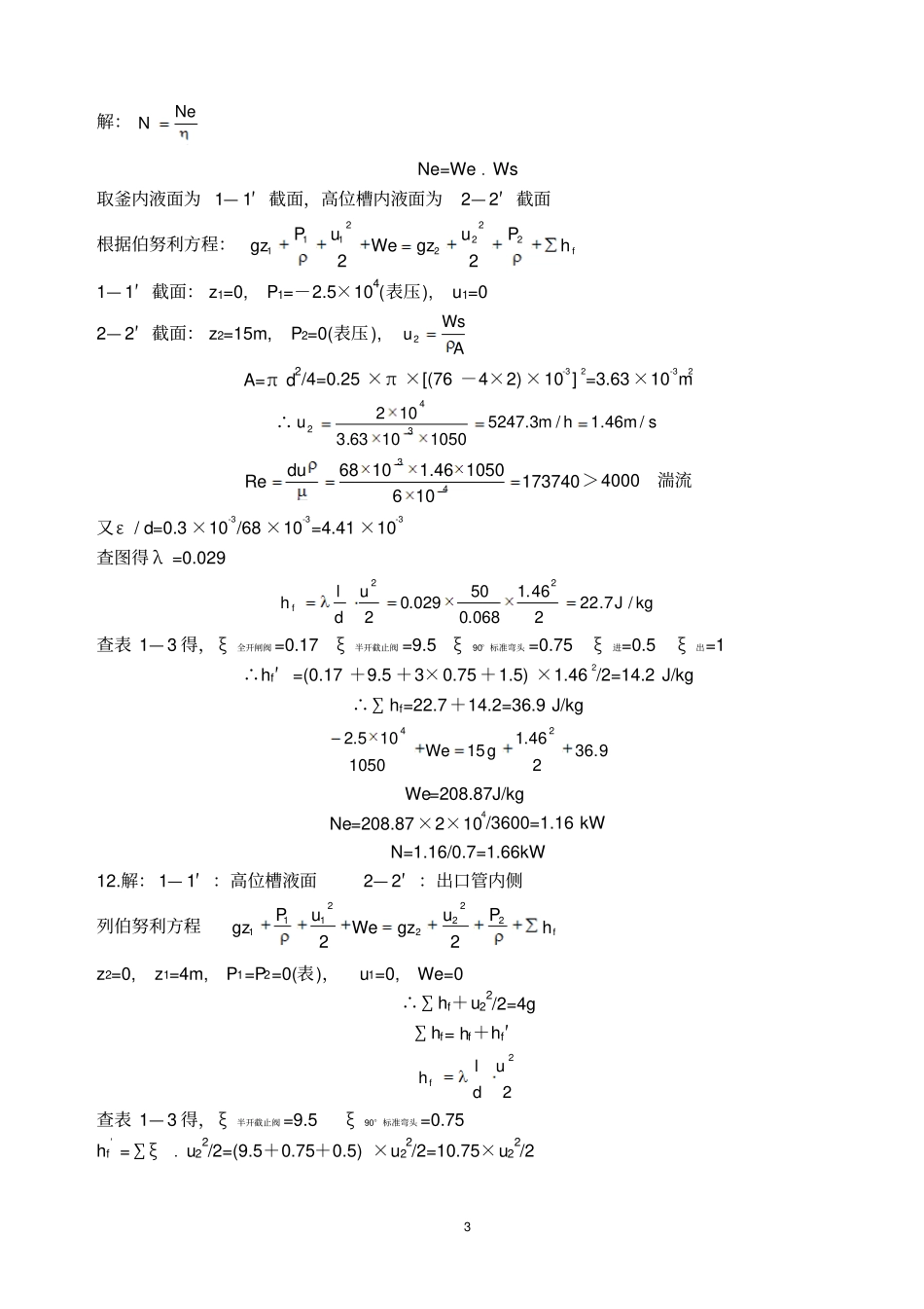
1绪论2.解:51001325.1Paatm1mNPa21mNJ3310mL∴2321001325.1mJmNmNatmL∴21001325.1JatmL以J·mol-1·K-1表示R的值R=0.08206×1.01325×102J﹒mol-1﹒K-1=8.315J﹒mol-1﹒K-1第一章流体流动1.表压=-真空度=-4.8×104Pa绝压=5.3×104Pa2.解:设右侧水面到B′点高为h3,根据流体静力学基本方程可知PB=PB′则ρ油gh2=ρ水gh3mmmkgmmmkgh4921000600820h3323水油h=h1+h3=892mm3.解:正U型管水银压差计由图可知PA=P1+(x+R1)ρ水gPB=P2+xρ水g P1-P2=2.472kPa∴PA-PB=2.472kPA+ρ水gR1又有PA=PCPC=PB+ρHggR1∴ρHggR1=2.472kPa+ρ水gR1∴mmmsmmkgR00.200200.081.9)100013600(2.472kPa231倒U型压差计设右侧管内水银高度为M 指示流体为空气∴PC=PDP1=PC+ρ水g(R2+M)P2=PD+ρ水gM∴mmmsmmkgR0.2522520.081.910002.472kPa2324.(1)PB=-845.9Pa(表)2(2)R′=0.178m7.解:由公式AVsu可得Vs=uA=uπd2/4=0.8×π×(57-3.5×2)2×10-6=1.57×10-3m3/sWs=Vsρ=1.57×10-3×1840=2.89kg/ssmkguAWsG2/147218408.08.解:由题可知:1—1′截面:P1=1.013×105Pau=0以2—2′截面为基准水平面∴z1=3m2—2′截面:设管内流速为uz2=03—3′截面:u,z3=3m4—4′截面:u,z4=3+0.5=3.5m5—5′截面:u,z5=3m6—6′截面:u,z6=2m,P6=1.013×105Pa根据伯努利方程:We=0,∑hf=0有62611P2ugzPgz P1=P6∴u2/2=g(z1-z6)=9.8有222112PugzPgz9.8×3+1.013×105/1000=9.8+P2/1000∴P2=1.209×105Pa323112PugzPgz1.013×105/1000=9.8+P3/1000∴P3=0.915×105Pa424112PugzPgz9.8×3+1.013×105/1000=9.8×3.5+9.8+P4/1000∴P4=0.866×105Pa525112PugzPgz∴P5=0.915×105Pa9.(1)u=1.55m/sVh=10.95m3/h(2)Δz=2.86m3解:NeNNe=We﹒Ws取釜内液面为1—1′截面,高位槽内液面为2—2′截面根据伯努利方程:fhPugzWeuPgz22222111221—1′截面:z1=0,P1=-2.5×104(表压),u1=02—2′截面:z2=15m,P2=0(表压),AWsu2A=πd2/4=0.25×π×[(76-4×2)×10-3]2=3.63×10-3m2∴smhmu/46.1/3.524710501063.3102342173740106105046.11068Re43du>4000湍流又ε/d=0.3×10-3/68×10-3=4.41×10-3查图得λ=0.029kgJudlhf/7.22246.1068.050029.0222查表1—3得,ξ全开闸阀=0.17ξ半开截止阀=9.5ξ90°标准弯头=0.75ξ进=0.5ξ出=1∴hf′=(0.17+9.5+3×0.75+1.5)×1.462/2=14.2J/kg∴∑hf=22.7+14.2=36.9J/kg9.36246.1151050105.224gWeWe=208.87J/kgNe=208.87×2×104/3600=1.16kWN=1.16/0.7=1.66kW12.解:1—1′:高位槽液面2—2′:出口管内侧列伯努利方程fhPugzWeuPgz2222211122z2=0,z1=4m,P1=P2=0(表),u1=0,We=0∴∑hf+u22/2=4g∑hf=hf+hf′22udlhf查表1—3得,ξ半开截止阀=9.5ξ90°标准弯头=0.75hf′=∑ξ﹒u22/2=(9.5+0.75+0.5)×u22/2=10.75×u22/24∴gdu4)75.10201(222化简得(400λ+11.75)×u22/2=39.220℃时μ水=1.005λ=f(Re)=f(u2)需试差321075.49Reudu假设u0Reλ→u001.0d1.5766300.0391.661.6796000.0391.661.66825880.03881.66∴截止阀半开时该输水系统的u0=1.66m/sVs=uA=1.66×0.25π×0.052=0.00326m3/s∴Vs=11.73m3/h第二章流体输送设备1、解:分别取离心泵的进、出口截面为1-1′截面和2-2′截面,由伯努力方程得:21,2222211122fHguρgpZHguρgpZ21,212212122fHguuρgppZZH其中,12ZZ=0.4m;41109.1pPa(表压);52107.4pPa(表压);21uu;21,fH=0;20℃时水的密度3mkg2.998。34.500081.92.998109.1107.44.045HmkW7.13W1037.170.0360081.92.9987034.504egHQNN3、解:10,v0gfHhρgppH(1)20℃时:由附录2及附录7知,水的密度3mkg2.998,饱和蒸气压4v102335.0pPa。28.45.2381.92.998102335.01081.944gHm(2)85℃时:由附录2及附录7知,水的密度3mkg6.968,饱和蒸气压5v105788.0pPa。527.15.2381.96.968105788.01081.954gHm4、解:10,v0gfHhρgppH6.15.381.95301045.6106.655=-2.21m<-1.5m故该泵不能正常工作。6、解:21,21221212e2fHguuρgppZZH81.91000109.600104=17m由于输送介质为水,结合13ehm100Q和17eHm,查附录21选IS100-80-125型泵,主要性能参数为:13hm100Q,20Hm,1minr2900n,78.0,0.7Nk...

1、当您付费下载文档后,您只拥有了使用权限,并不意味着购买了版权,文档只能用于自身使用,不得用于其他商业用途(如 [转卖]进行直接盈利或[编辑后售卖]进行间接盈利)。
2、本站所有内容均由合作方或网友上传,本站不对文档的完整性、权威性及其观点立场正确性做任何保证或承诺!文档内容仅供研究参考,付费前请自行鉴别。
3、如文档内容存在违规,或者侵犯商业秘密、侵犯著作权等,请点击“违规举报”。

碎片内容

制药化工原理课后习题答案

您可能关注的文档

确认删除?
VIP
微信客服
  • 扫码咨询
会员Q群
  • 会员专属群点击这里加入QQ群
客服邮箱
回到顶部