电脑桌面
添加小米粒文库到电脑桌面
安装后可以在桌面快捷访问

北京2019届高三数学理科综合练习8含答案VIP免费

北京2019届高三数学理科综合练习8含答案_第1页
1/19
北京2019届高三数学理科综合练习8含答案_第2页
2/19
北京2019届高三数学理科综合练习8含答案_第3页
3/19
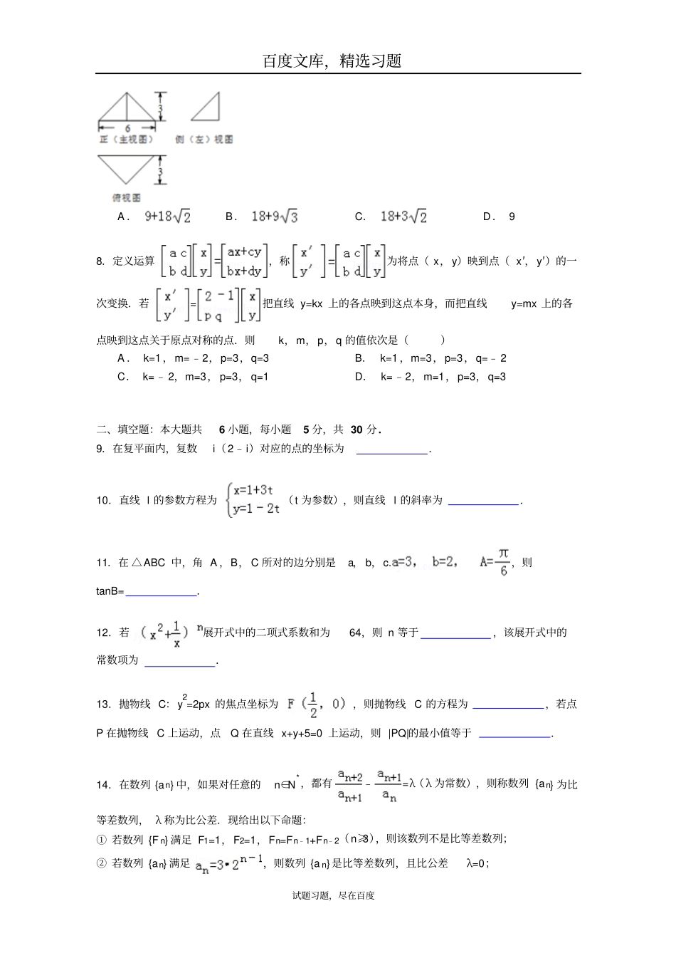
百度文库,精选习题试题习题,尽在百度北京市2017届高三综合练习数学(理)一、选择题:本大题共8小题,每小题5分,共40分.在每小题列出的四个选项中,选出符合题目要求的一项.1.若¬p∨q是假命题,则()A.p∧q是假命题B.p∨q是假命题C.p是假命题D.¬q是假命题2.下列四个函数中,既是奇函数又在定义域上单调递增的是()A.y=x﹣1B.y=tanxC.y=x3D.y=log2x3.如图,A,B,C,D是⊙O上的四个点,过点B的切线与DC的延长线交于点E.若∠BCD=110°,则∠DBE=()A.75°B.70°C.60°D.55°4.设平面向量=(1,2),=(﹣2,y),若∥,则|2﹣|等于()A.4B.5C.D.5.已知M,N是不等式组所表示的平面区域内的两个不同的点,则|MN|的最大值是()A.B.C.D.6.已知数列{an}的前n项和为Sn,a1=1,2Sn=an+1,则Sn=()A.2n﹣1B.2n﹣1C.3n﹣1D.7.一个几何体的三视图如图所示,则这个几何体的表面积为()百度文库,精选习题试题习题,尽在百度A.B.C.D.98.定义运算,称为将点(x,y)映到点(x′,y′)的一次变换.若=把直线y=kx上的各点映到这点本身,而把直线y=mx上的各点映到这点关于原点对称的点.则k,m,p,q的值依次是()A.k=1,m=﹣2,p=3,q=3B.k=1,m=3,p=3,q=﹣2C.k=﹣2,m=3,p=3,q=1D.k=﹣2,m=1,p=3,q=3二、填空题:本大题共6小题,每小题5分,共30分.9.在复平面内,复数i(2﹣i)对应的点的坐标为.10.直线l的参数方程为(t为参数),则直线l的斜率为.11.在△ABC中,角A,B,C所对的边分别是a,b,c.,则tanB=.12.若展开式中的二项式系数和为64,则n等于,该展开式中的常数项为.13.抛物线C:y2=2px的焦点坐标为,则抛物线C的方程为,若点P在抛物线C上运动,点Q在直线x+y+5=0上运动,则|PQ|的最小值等于.14.在数列{an}中,如果对任意的n∈N*,都有﹣=λ(λ为常数),则称数列{an}为比等差数列,λ称为比公差.现给出以下命题:①若数列{Fn}满足F1=1,F2=1,Fn=Fn﹣1+Fn﹣2(n≥3),则该数列不是比等差数列;②若数列{an}满足,则数列{an}是比等差数列,且比公差λ=0;百度文库,精选习题试题习题,尽在百度③等比数列一定是比等差数列,等差数列一定不是比等差数列;④若{an}是等差数列,{bn}是等比数列,则数列{anbn}是比等差数列.其中所有真命题的序号是.三、解答题:本大题共6小题,共80分.解答应写出文字说明,演算步骤或证明过程.15.已知函数f(x)=sin(ωx+φ)(ω>0,0<φ<π)的最小正周期为π,且图象过点.(Ⅰ)求ω,φ的值;(Ⅱ)设,求函数g(x)的单调递增区间.16.如图,ABCD是正方形,DE⊥平面ABCD,AF∥DE,DE=DA=3AF.(Ⅰ)求证:AC⊥BE;(Ⅱ)求二面角F﹣BE﹣D的余弦值;(Ⅲ)设点M是线段BD上一个动点,试确定点M的位置,使得AM∥平面BEF,证明你的结论.17.小明从家到学校有两条路线,路线1上有三个路口,各路口遇到红灯的概率均为;路线2上有两个路口,各路口遇到红灯的概率依次为.(Ⅰ)若小明上学走路线1,求最多遇到1次红灯的概率;(Ⅱ)若小明上学走路线2,求遇到红灯次数X的数学期望;(Ⅲ)按照“平均遇到红灯次数越少为越好”的标准,请你帮助小明从上述两条路线中选择一条最好的上学路线,并说明理由.18.已知函数(a>0).(Ⅰ)当a=1时,求函数f(x)的单调区间;(Ⅱ)当x=﹣5时,f(x)取得极值.①若m≥﹣5,求函数f(x)在上的最小值;②求证:对任意x1,x2∈,都有|f(x1)﹣f(x2)|≤2.百度文库,精选习题试题习题,尽在百度19.已知椭圆C:的离心率为,且过点.直线交椭圆C于B,D(不与点A重合)两点.(Ⅰ)求椭圆C的方程;(Ⅱ)△ABD的面积是否存在最大值?若存在,求出这个最大值;若不存在,请说明理由.20.设m>3,对于项数为m的有穷数列{an},令bk为a1,a2,a3⋯ak(k≤m)中的最大值,称数列{bn}为{an}的“创新数列”.例如数列3,5,4,7的创新数列为3,5,5,7.考查自然数1、2⋯m(m>3)的所有排列,将每种排列都视为一个有穷数列{cn}.(Ⅰ)若m=5,写出创新数列为3,5,5,5,5的所有数列{cn};(Ⅱ)是否存在数列{cn}的创新数列为等比数列?若...

1、当您付费下载文档后,您只拥有了使用权限,并不意味着购买了版权,文档只能用于自身使用,不得用于其他商业用途(如 [转卖]进行直接盈利或[编辑后售卖]进行间接盈利)。
2、本站所有内容均由合作方或网友上传,本站不对文档的完整性、权威性及其观点立场正确性做任何保证或承诺!文档内容仅供研究参考,付费前请自行鉴别。
3、如文档内容存在违规,或者侵犯商业秘密、侵犯著作权等,请点击“违规举报”。

碎片内容

北京2019届高三数学理科综合练习8含答案

您可能关注的文档

文库响当当+ 关注
实名认证
内容提供者

该用户很懒,什么也没介绍

确认删除?
VIP
微信客服
  • 扫码咨询
会员Q群
  • 会员专属群点击这里加入QQ群
客服邮箱
回到顶部