电脑桌面
添加小米粒文库到电脑桌面
安装后可以在桌面快捷访问

流体力学习题解答3VIP免费

流体力学习题解答3_第1页
1/6
流体力学习题解答3_第2页
2/6
流体力学习题解答3_第3页
3/6
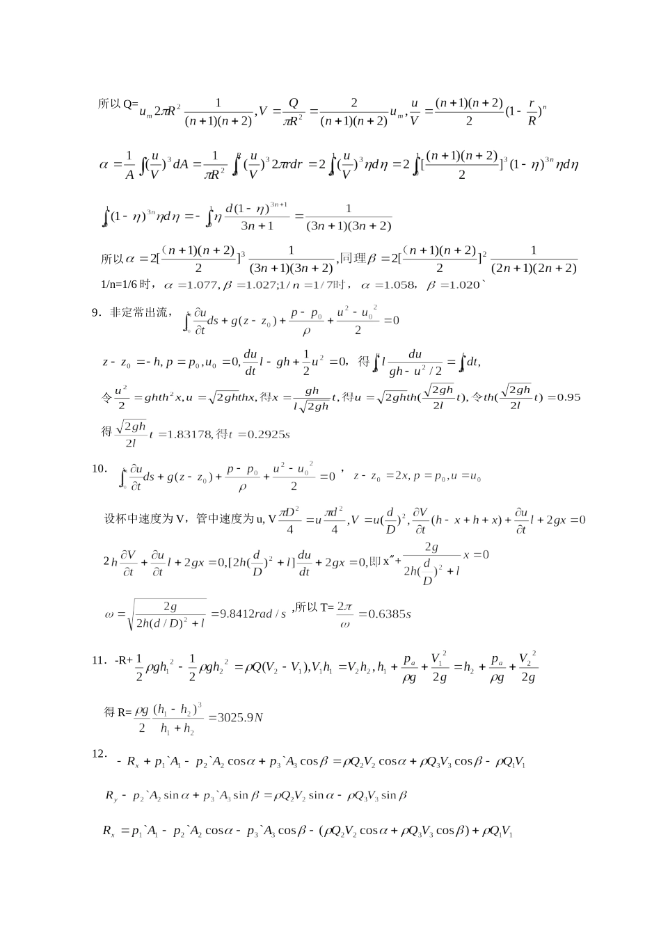
习题三1.平面流动的速度为u=xy,v=xy,求证任一点的速度和加速度方向相同。2.试证明,变截面管道中的连续性方程为:+=03.流进入一段管道,入口处速度均匀分布,V=0.5m/s,出口处速度分布为u(r)=u[1-()],R为管半径,r是点到管轴线的距离,u为轴线(r=0)处的流速度,求u的值。4.如图,用水银压差计测量油管中的点速度,油的密度=800kg/m,当读数=60mm时,油的速度u为多少?10题图5.文丘里管测流量。已知D=25mm,d=14mm,喉部与其上游的压差为883Pa,流量系数=0.96,求管中水的流量Q。6.为了测量矿山排风管道的气体流量Q,在其出口处装有一个收缩,扩张的管嘴,在喉部处安装一个细管,下端插如水中,如图。已知=1.25kg/m,ˊ=1000kg/m,h=45mm,d=400mm,d=600mm,求Q。7.池的水位高h=4m,池壁有一小孔,孔口到水面高差为y,如图。如果从孔口射出的水流到达地面的水平距离x=2m,求y的值。16题图8.旋转洒水器两臂长度不等,若喷口直径d=25mm,每个喷口的水流量为Q,不计摩擦力矩,求转速。3-18管流的速度分布为:u=u式中,R为管道半径,r是点到轴线距离,u是轴线上的速度,n为常数。试计算动能修正系数和动量修正系数和。如果n=1/6和1/7,和的值为多少?10.在开口水箱液面下h=2m处的壁面开孔并接一条长l=0.5m的水平水管,当管出口阀门打开时,小管的出流速度随时间变化,求出流速从零到0.95所经历的时间是多少?11.水流从水库的一条长l=1000m,管径d=1.2m的水平管道引至水轮发电机,水位h=50m。为减弱管流的压力波动,管尾处设有一个直径D=3.6m的调压井。当管道阀门关闭时,如果管内的水发生振荡,求调压井水面的振荡周期。21题图12.单位宽度的平板闸门开启时,上游水位h,下游水位h,试求水流作用在闸门上的力R。23题图13.水平面的管路在某处分叉,主干管和分叉管的直径,水流量分别为d夹角°,=30°,主干管在分叉处的表压强为8000N/m,试求水流对于此分叉段的作用力。25题图14.一条水平放置的油管有90°转弯,已知管径d=150mm,表压为20kPa,油的密度,流量Q=20,求流体给弯管的合力的大小和方向。15.水由一个压力容器的喷嘴射出,已知容器内水面上的表压p,水位h=3m,管径d求水流给喷嘴处的合力。27题图16.一块与射流方向垂直的平板将射流的流量截成两部分Q,如果V=30m/s,Q=361m,Q,Q,求偏转角和水流给平板的力。28题图17.直径为d,流量为Q的水射流冲击一个对称的叶片,叶片的转角为,如果叶片以速度u远离射流而去,求射流对叶片所作的功率P。当u等于多少时,功率P最大?30题图3-33.偏心管接头,管径为d,管距为2h,流体密度为,流速为V,为防止管接头转动需加多大的力矩?33题图参考答案:1.2.证:3.Q=V所以4.则5.7.出流速度V=,因为,8.所以Q=所以1/n=1/6时,`9.非定常出流,令得10.,设杯中速度为V,管中速度为u,V2x"+,所以T=11.-R+得R=12.,计算表如下:VVVp`p`p`RR1.7825m/s1.5915m/s2.1221m/s8000Pa8322Pa7337Pa505N546N13.,,V=Q/A=1.1318m/s得R=372N,RR=527N14.(p`=)VV,15.0=因为,所以又°R=16.射流绝对速度:射流相对速度:射流流量:()A动坐标上:功率:P=Fu=求令则(17.18.因为题3-22左面的箱子属于小孔定常出流,其出流平均流速为:所以平板的受力为:右面静止流体对平板的作用力为题3-29根据伯努利方程(位置和压强都相等,故速度相等)故V1=V2=V;得到:Q1+Q2=Q+Q得到:

1、当您付费下载文档后,您只拥有了使用权限,并不意味着购买了版权,文档只能用于自身使用,不得用于其他商业用途(如 [转卖]进行直接盈利或[编辑后售卖]进行间接盈利)。
2、本站所有内容均由合作方或网友上传,本站不对文档的完整性、权威性及其观点立场正确性做任何保证或承诺!文档内容仅供研究参考,付费前请自行鉴别。
3、如文档内容存在违规,或者侵犯商业秘密、侵犯著作权等,请点击“违规举报”。

碎片内容

流体力学习题解答3

您可能关注的文档

确认删除?
VIP
微信客服
  • 扫码咨询
会员Q群
  • 会员专属群点击这里加入QQ群
客服邮箱
回到顶部