电脑桌面
添加小米粒文库到电脑桌面
安装后可以在桌面快捷访问

电子科技大学微积分试题及标准答案VIP免费

电子科技大学微积分试题及标准答案_第1页
1/7
电子科技大学微积分试题及标准答案_第2页
2/7
电子科技大学微积分试题及标准答案_第3页
3/7
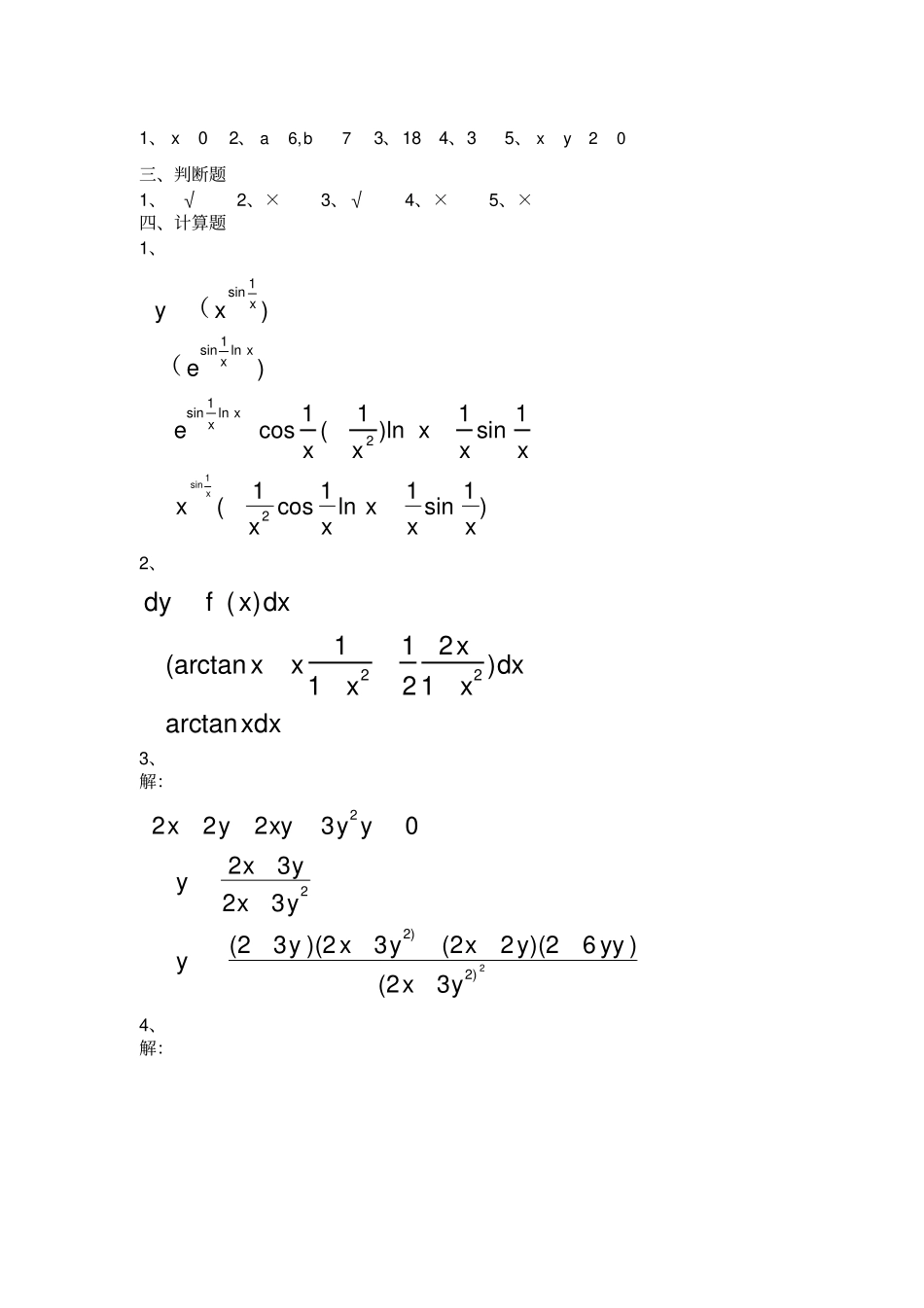
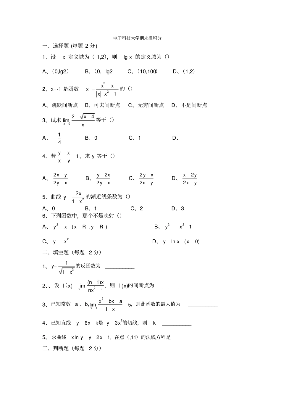
电子科技大学期末微积分一、选择题(每题2分)1、设x定义域为(1,2),则lgx的定义域为()A、(0,lg2)B、(0,lg2C、(10,100)D、(1,2)2、x=-1是函数x=221xxxx的()A、跳跃间断点B、可去间断点C、无穷间断点D、不是间断点3、试求024limxxx等于()A、14B、0C、1D、4、若1yxxy,求y等于()A、22xyyxB、22yxyxC、22yxxyD、22xyxy5、曲线221xyx的渐近线条数为()A、0B、1C、2D、36、下列函数中,那个不是映射()A、2yx(,)xRyRB、221yxC、2yxD、lnyx(0)x二、填空题(每题2分)1、211xy=的反函数为__________2、、2(1))lim()1xnxfxfxnx设(,则的间断点为__________3、21lim51xxbxax已知常数a、b,,则此函数的最大值为__________4、263yxkyxk已知直线是的切线,则__________5、ln2111xyyx求曲线,在点(,)的法线方程是__________三、判断题(每题2分)1、221xyx函数是有界函数()2、有界函数是收敛数列的充分不必要条件()3、lim若,就说是比低阶的无穷小()4、可导函数的极值点未必是它的驻点()5、曲线上凹弧与凸弧的分界点称为拐点()四、计算题(每题6分)1、1sinxyx求函数的导数2、21()arctanln(12fxxxxdy已知),求3、2326xxyyyxy已知,确定是的函数,求4、20tansinlimsinxxxxx求5、31)dxxx计算(6、210lim(cos)xxx计算五、应用题1、设某企业在生产一种商品x件时的总收益为2)100Rxxx(,总成本函数为2()20050Cxxx,问政府对每件商品征收货物税为多少时,在企业获得利润最大的情况下,总税额最大?(8分)2、描绘函数21yxx的图形(12分)六、证明题(每题6分)1、用极限的定义证明:设01lim(),lim()xxfxAfAx则2、证明方程10,1xxe在区间()内有且仅有一个实数一、选择题1、C2、C3、A4、B5、D6、B二、填空题1、0x2、6,7ab3、184、35、20xy三、判断题1、√2、×3、√4、×5、×四、计算题1、1sin1sin1sinln1sinln22))1111cos()lnsin1111(coslnsin)xxxxxxyxeexxxxxxxxxxx((2、22()112(arctan)121arctandyfxdxxxxdxxxxdx3、解:2222)2)222302323(23)(23(22)(26)(23xyxyyyxyyxyyxyxyyyyxy4、解:2223000tansin,1cos21tan(1cos)12limlimsin2xxxxxxxxxxxxxxx当时,原式=5、解:665232222266,61)61116116(1)166arctan66arctanxxtdxttttttttttCxxC令t=原式(6、解:2201lncos01limlncos20200012lim1limlncoslncoslim1(sin)coslim2tan1lim22xxxxxxxxxxeexxxxxxxxxe原式其中:原式五、应用题1、解:设每件商品征收的货物税为a,利润为()Lx222()()()100(20050)2(50)200()45050()0,,()4(50)41(502)410250225LxRxCxaxxxxxaxxaxLxxaaLxxLxaaaxTaTaTa令得此时取得最大值税收T=令得当时,T取得最大值2、解:23300,0121022201Dxyxxyxyxyx,间断点为令则令则x(,1)1(1,0)0310,231231(,)2y0y0y↘拐点↘无定义↘极值点↗渐进线:032limlim001limxxxyyyxyyxyxx无水平渐近线是的铅直渐近线无斜渐近线图象六、证明题1、证明:lim()0,0()11101()1lim()xxfxAMxMfxAxMMMxfAxfAx当时,有取=,则当0时,有即2、证明:()1()0,1(0)10,(1)100,1()0,1()(1)0,(0,1)()0,110,1xxxfxxefxffefefxxexfxxe令在()上连续由零点定理:至少存在一个(),使得即又则在上单调递增方程在()内有且仅有一个实根

1、当您付费下载文档后,您只拥有了使用权限,并不意味着购买了版权,文档只能用于自身使用,不得用于其他商业用途(如 [转卖]进行直接盈利或[编辑后售卖]进行间接盈利)。
2、本站所有内容均由合作方或网友上传,本站不对文档的完整性、权威性及其观点立场正确性做任何保证或承诺!文档内容仅供研究参考,付费前请自行鉴别。
3、如文档内容存在违规,或者侵犯商业秘密、侵犯著作权等,请点击“违规举报”。

碎片内容

电子科技大学微积分试题及标准答案

确认删除?
VIP
微信客服
  • 扫码咨询
会员Q群
  • 会员专属群点击这里加入QQ群
客服邮箱
回到顶部