电脑桌面
添加小米粒文库到电脑桌面
安装后可以在桌面快捷访问

指数对数计算题含答案VIP免费

指数对数计算题含答案_第1页
1/3
指数对数计算题含答案_第2页
2/3
指数对数计算题含答案_第3页
3/3
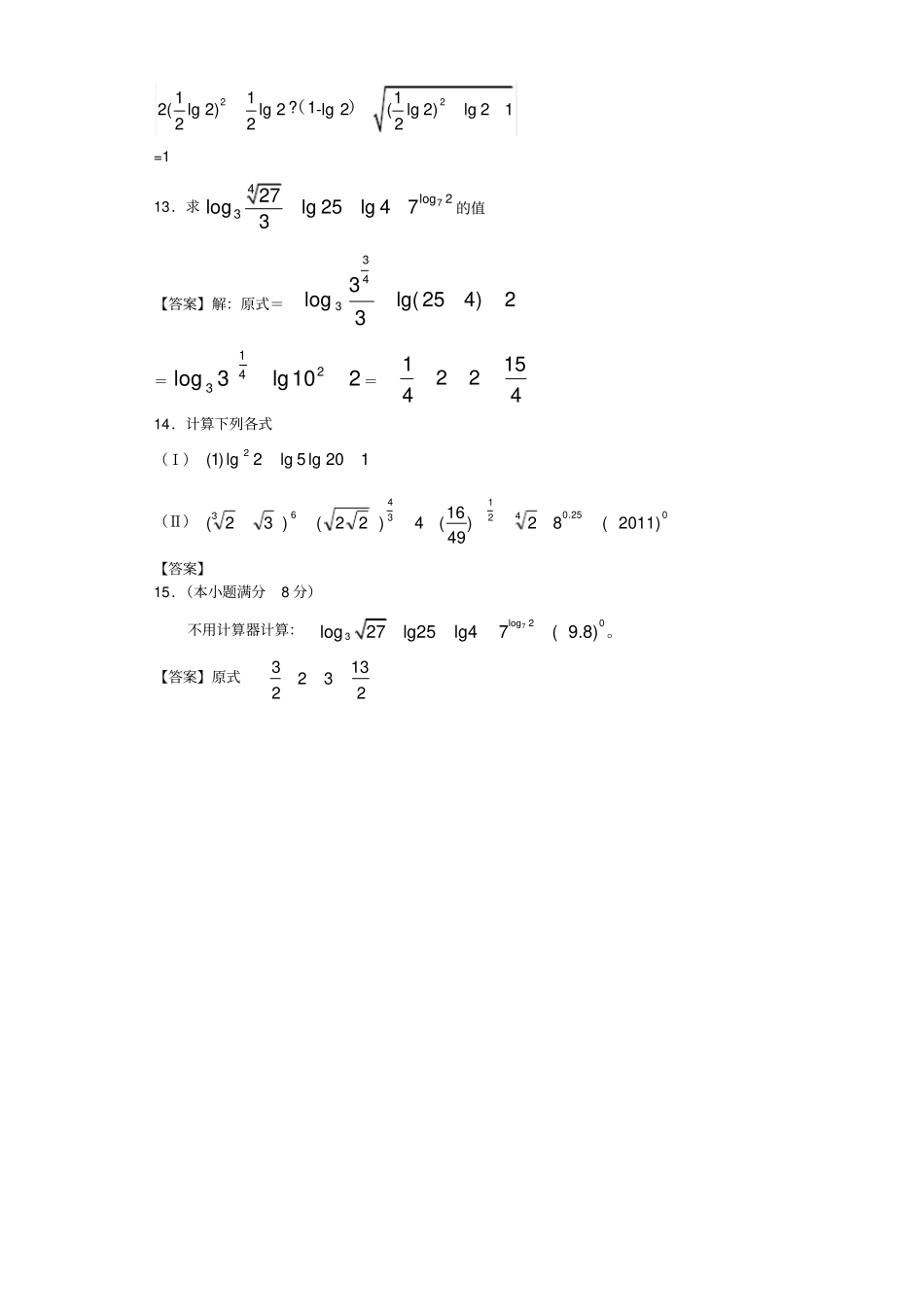
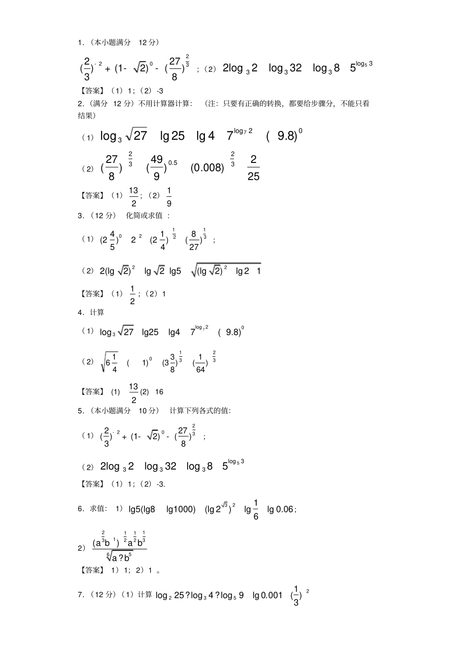
1.(本小题满分12分)2203227()(12)()38-+--;(2)5log33332log2log32log85【答案】(1)1;(2)-32.(满分12分)不用计算器计算:(注:只要有正确的转换,都要给步骤分,不能只看结果)(1)02log3)8.9(74lg25lg27log7(2)252)008.0()949()827(325.032【答案】(1)213;(2)913.(12分)化简或求值:(1)110232418(2)2(2)()5427;(2)222(lg2)lg2lg5(lg2)lg21【答案】(1)21;(2)14.计算(1)7log203log27lg25lg47(9.8)(2)32310)641()833()1(416【答案】(1)132(2)165.(本小题满分10分)计算下列各式的值:(1)2203227()(12)()38-+--;(2)5log33332log2log32log85【答案】(1)1;(2)-3.6.求值:1)321lg5(lg8lg1000)(lg2)lglg0.066;2)21111332265()ababab?【答案】1)1;2)1。7.(12分)(1)计算2532)31(001.0lg9log4log25log??(2)63735aaa【答案】(1)-4;(2)21a。8.(本小题满分12分)计算5log3333322log2loglog859的值。【答案】-19.(本小题满分13分)计算下列各式的值:(1)1304321(4)()0.25(2)2;(2)8log)12()31(2lg5lg202.【答案】(1)原式=4141232;(2)原式=-410.(本小题满分12分)计算:(1)×421-4÷21016115;(2)22lg50lg2lg25lg?.【答案】(1)原式=-4;(2)原式=211.求51lg12.5lglg82的值.【答案】51lg12.5lglg82112.计算下列各式的值:(1)31213125.01041027.010])833(81[])87(3[)0081.0(;(2)12lg)2(lg5lg2lg)2(lg222?;【答案】(1)原式=1111010.25334273(0.0081)[3()][81(3)]100.02788=1111334140.2533423(0.3)3[3()]100.32=0(2)原式=222(lg2)lg2lg5(lg2)lg21?=221112(lg2)lg2-lg2(lg2)lg21222(1)?=113.求74log2327loglg25lg473的值【答案】解:原式=2)425lg(33log433=210lg3log2413=415224114.计算下列各式(Ⅰ)120lg5lg2lg)1(2(Ⅱ)025.04213463)2011(82)4916(4)22()32(【答案】15.(本小题满分8分)不用计算器计算:7log203log27lg25lg47(9.8)。【答案】原式3132322

1、当您付费下载文档后,您只拥有了使用权限,并不意味着购买了版权,文档只能用于自身使用,不得用于其他商业用途(如 [转卖]进行直接盈利或[编辑后售卖]进行间接盈利)。
2、本站所有内容均由合作方或网友上传,本站不对文档的完整性、权威性及其观点立场正确性做任何保证或承诺!文档内容仅供研究参考,付费前请自行鉴别。
3、如文档内容存在违规,或者侵犯商业秘密、侵犯著作权等,请点击“违规举报”。

碎片内容

指数对数计算题含答案

确认删除?
VIP
微信客服
  • 扫码咨询
会员Q群
  • 会员专属群点击这里加入QQ群
客服邮箱
回到顶部