电脑桌面
添加小米粒文库到电脑桌面
安装后可以在桌面快捷访问

指数与指数运算基础知识+经典练习题VIP免费

指数与指数运算基础知识+经典练习题_第1页
1/4
指数与指数运算基础知识+经典练习题_第2页
2/4
指数与指数运算基础知识+经典练习题_第3页
3/4
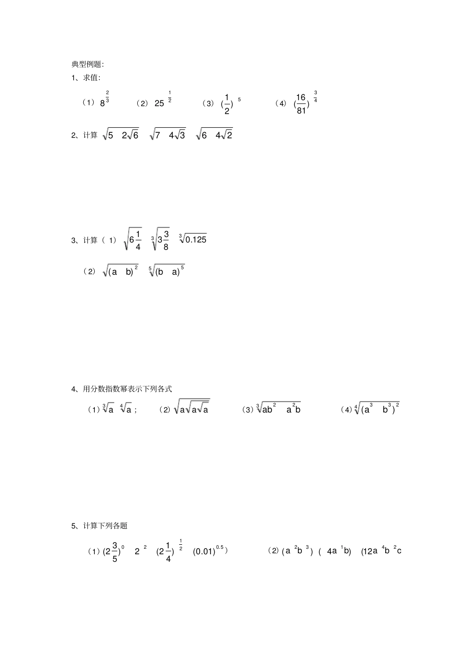
指数与指数运算基础知识+经典练习题知识梳理:1、根式(1)n次方根的定义一般地,如果axn,那么x叫做a的n次方根当n为奇数时,正数的n次方根是一个正数,负数的n次方根是一个负数,这时,a的n次方根用符号na表示当n为偶数时,正数的n次方根有两个,这两个数互为相反数,这时正数a的n次方根用符号na表示注:负数没有偶次方根0的任何次方根都是0,记作00n(2)根式式子na叫做根式,这里n叫根指数,a叫做被开方数注:①aann)(②当n为奇数时,aann当n为偶数时,aann)0(,aa)0(,aa2、分数指数幂(1)正数的正分数指数幂的意义是)1,,,0(nNnmaaanmnm且(2)正数的负分数指数幂的意义是)1,,,0(11nNnmaaaanmnmnm且(3)0的正分数指数幂等于0,0的负分数指数幂没有意义3、实数幂的运算性质(1)),,0(,Qsraaaasrsr(2)),,0(,)(Qsraaarssr(3)),,0(,)(Qsrabaabrrr典型例题:1、求值:(1)328(2)2125(3)5)21((4)43)8116(2、计算2463476253、计算(1)33125.0833416(2)552)()(abba4、用分数指数幂表示下列各式(1)43aa;(2)aaa(3)322baab(4)4233)(ba5、计算下列各题(1)5.02120)01.0()412(2)532()(2)cbababa2413212()4()(6、有附加条件的计算问题化简求值是考试中的常见问题,先化简,再求值是常用的解题方法,化简包括对已知条件和所求式子的化简,如果只对所求式子化简有时也很难用上已知条件,所以有些题目经常对已知条件进行化简处理。化简时注意以下公式:32123)(aa))((2233babababa))((212121212323bbaababa例:(1)已知122na,求nnnnaaaa33的值(2)已知axx22(a为常数),求xx88的值(3)已知yxxyyx且9,12,求21212121yxyx的值指数与指数运算的练习1、化简(1))31()3()(656131212132bababa(2))221(2323131xxx(3))0,0()(3131421413223bababaabba2、若,1)62(652xxx则x的值为()A、2B、3C、2或3D、无答案3、若,31aa则22aa的值为()A、9B、6C、7D、114、若21a,则化简42)12(a的结果是()A、12aB、12aC、a21D、a21、5、若34221144aaa,则实数a的取值范围是()A、21aB、210aa或C、0aD、21a6、已知3213210,210ba,则ba43210等于()A、42B、2C、1D、无答案7、若31x,则961222xxxx=()8、已知,31aa则2121aa=()9、(1)已知331,31yx,求232121223])()([xxyyx的值(2)设32121xx,求22222323xxxx的值

1、当您付费下载文档后,您只拥有了使用权限,并不意味着购买了版权,文档只能用于自身使用,不得用于其他商业用途(如 [转卖]进行直接盈利或[编辑后售卖]进行间接盈利)。
2、本站所有内容均由合作方或网友上传,本站不对文档的完整性、权威性及其观点立场正确性做任何保证或承诺!文档内容仅供研究参考,付费前请自行鉴别。
3、如文档内容存在违规,或者侵犯商业秘密、侵犯著作权等,请点击“违规举报”。

碎片内容

指数与指数运算基础知识+经典练习题

爱的疯狂+ 关注
实名认证
内容提供者

该用户很懒,什么也没介绍

相关文档

确认删除?
VIP
微信客服
  • 扫码咨询
会员Q群
  • 会员专属群点击这里加入QQ群
客服邮箱
回到顶部