电脑桌面
添加小米粒文库到电脑桌面
安装后可以在桌面快捷访问

模块4——两角和与差的三角函数VIP免费

模块4——两角和与差的三角函数_第1页
1/6
模块4——两角和与差的三角函数_第2页
2/6
模块4——两角和与差的三角函数_第3页
3/6
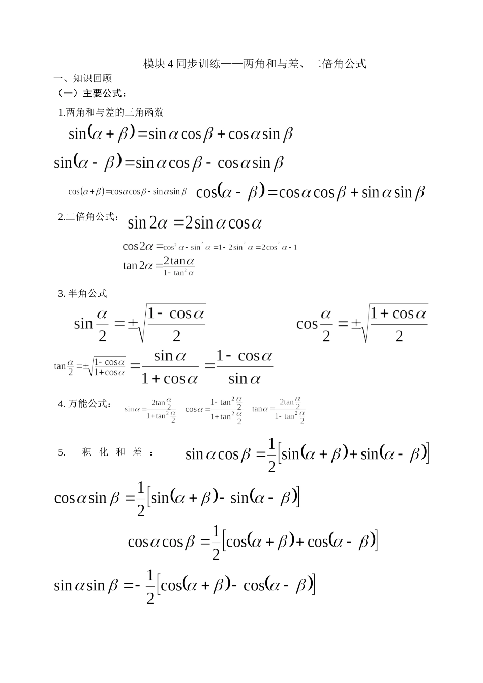
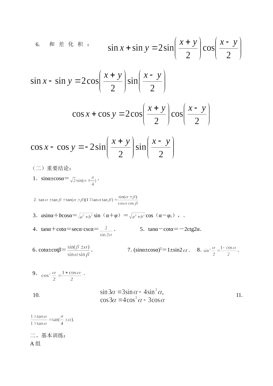
模块4同步训练——两角和与差、二倍角公式一、知识回顾(一)主要公式:1.两角和与差的三角函数2.二倍角公式:3.半角公式4.万能公式:5.积化和差:6.和差化积:(二)重要结论:1.sinα±cosα=.3.asinα+bcosα=sin(α+φ)=cos(α-φ1),.4.tanα+cotα=secα·cscα=.5.tanα-cotα=-2ctg2α.6.cotα±cotβ=.7.(sinα±cosα)2=1±sin2.8..9..10.11.二、基本训练:A组1、下列各式中,值为的是()A、B、C、D、2、命题P:,命题Q:,则P是Q的()A、充要条件B、充分不必要条件C、必要不充分条件D、既不充分也不必要条件3、若且,那么的值是()A、B、C、D、或4、已知为锐角且,则的值等于____。5、若,则化简为______。6、已知,且,,求的值.7、计算:8、若且,,求的值.9、已知,问是否存在满足的,使得的值不随的变化而变化?如果存在,求出的值;若不存在,说明理由.10、(05全国卷Ⅱ)已知为第二象限的角,,为第一象限的角,.求的值.11、(05福建卷)已知.(I)求sinx-cosx的值;(Ⅱ)求的值.B组1、已知,那么的值为()A、B、C、D、2、的值是()A、1B、2C、4D、3、已知是第二象限角,且,则的值为()A、-7B、7C、D、4、(05江西卷)已知()A.B.-C.D.-5、(05江苏卷)若,则=()A.B.C.D.6、(05湖北卷)若()A.B.C.D.7、(05重庆卷)()A.B.C.D.8、已知,则____。9、设中,,,则此三角形是______三角形。10、已知,求的值。11、已知,求的值。12、已知,求的值。13、是否存在锐角,使得①;②同时成立?若存在,求出;若不存在,说明理由。参考答案:基本训练、1、C2、C3、C4、5、6、7、8、9、10、11略B组:1—7、ACBBACD8、9、等边10、11、12、13、

1、当您付费下载文档后,您只拥有了使用权限,并不意味着购买了版权,文档只能用于自身使用,不得用于其他商业用途(如 [转卖]进行直接盈利或[编辑后售卖]进行间接盈利)。
2、本站所有内容均由合作方或网友上传,本站不对文档的完整性、权威性及其观点立场正确性做任何保证或承诺!文档内容仅供研究参考,付费前请自行鉴别。
3、如文档内容存在违规,或者侵犯商业秘密、侵犯著作权等,请点击“违规举报”。

碎片内容

模块4——两角和与差的三角函数

远洋启航书店+ 关注
实名认证
内容提供者

从事历史教学,热爱教育,高度负责。

确认删除?
VIP
微信客服
  • 扫码咨询
会员Q群
  • 会员专属群点击这里加入QQ群
客服邮箱
回到顶部