电脑桌面
添加小米粒文库到电脑桌面
安装后可以在桌面快捷访问

江苏省宿迁市剑桥国际学校高三数学 午练(75)平面向量的基本定理与坐标运算 苏教版VIP免费

江苏省宿迁市剑桥国际学校高三数学 午练(75)平面向量的基本定理与坐标运算 苏教版_第1页
1/2
江苏省宿迁市剑桥国际学校高三数学 午练(75)平面向量的基本定理与坐标运算 苏教版_第2页
2/2
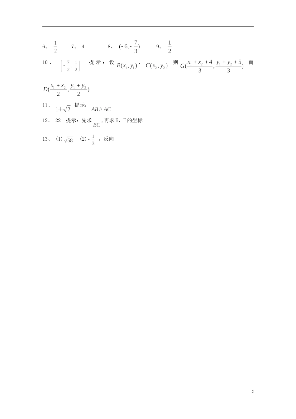
高三数学午间小练(75)平面向量的基本定理与坐标运算1、已知=(2,1),=(1,3),则2+3等于.2、已知平行四边形ABCD的三个顶点、、,则顶点D的坐标为.3、已知向量,,,若用和表示,则=.4、已知,,且,则=.5、|a|=10b=(3,-4)且a∥b则a=.6、已知点,,若,则当=时,点P在第一、三象限的角平分线上.7、已知,,,且,则x=.8、若M(-3,-2),N(6,-1),且,则点P的坐标为.9、已知且,则的值为.10、已知中的顶点,重心,则BC边的中点D的坐标为.11、已知>0,若平面内三点A(1,-),B(2,),C(3,)共线,则=.12、直角坐标平面内三点A(1,2)、B(3,-2)、C(9,7),若E、F为线段BC的三等分点,则=.13、已知(1)求;(2)当k为何实数时,k与平行,平行时它们是同向还是反向?1、(1,11)2、3、2-4、45、(6,-8)或(-6,8)16、7、48、9、10、提示:设,则而11、提示:12、22提示:先求,再求E、F的坐标13、(1)(2),反向2

1、当您付费下载文档后,您只拥有了使用权限,并不意味着购买了版权,文档只能用于自身使用,不得用于其他商业用途(如 [转卖]进行直接盈利或[编辑后售卖]进行间接盈利)。
2、本站所有内容均由合作方或网友上传,本站不对文档的完整性、权威性及其观点立场正确性做任何保证或承诺!文档内容仅供研究参考,付费前请自行鉴别。
3、如文档内容存在违规,或者侵犯商业秘密、侵犯著作权等,请点击“违规举报”。

碎片内容

江苏省宿迁市剑桥国际学校高三数学 午练(75)平面向量的基本定理与坐标运算 苏教版

您可能关注的文档

确认删除?
VIP
微信客服
  • 扫码咨询
会员Q群
  • 会员专属群点击这里加入QQ群
客服邮箱
回到顶部