电脑桌面
添加小米粒文库到电脑桌面
安装后可以在桌面快捷访问

四川省德阳市高一数学上学期期末试卷(含解析)-人教版高一全册数学试题VIP免费

四川省德阳市高一数学上学期期末试卷(含解析)-人教版高一全册数学试题_第1页
1/22
四川省德阳市高一数学上学期期末试卷(含解析)-人教版高一全册数学试题_第2页
2/22
四川省德阳市高一数学上学期期末试卷(含解析)-人教版高一全册数学试题_第3页
3/22
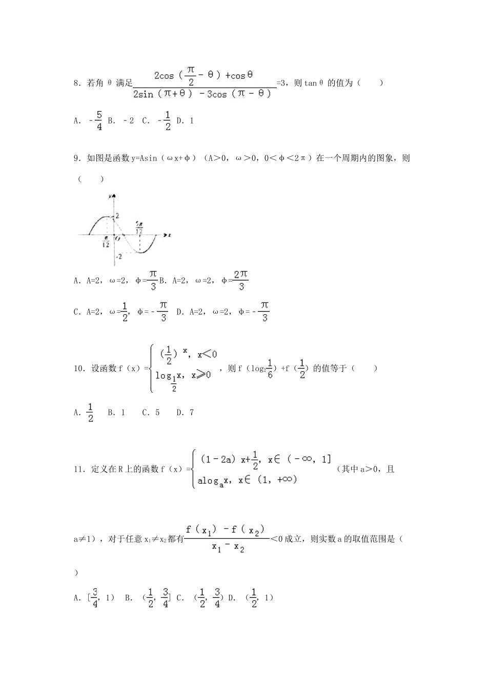
2015-2016学年四川省德阳市高一(上)期末数学试卷一、选择题(本大题共12小题,每小题3分,共36分)1.已知角α的顶点与直角坐标系的原点重合,始边与x轴的非负半轴重合,若点P(1,﹣)是角α终边上一点,则tanα的值为()A.B.﹣C.﹣D.﹣2.若集合A={1,a,b},B={1,﹣1,2},且B=A,则a+b的值为()A.3B.1C.0D.不能确定3.函数f(x)=﹣2lg(x+1)的定义域为()A.(﹣1,3]B.(﹣∞,3]C.[3,+∞)D.(﹣1,+∞)4.设a=e0.3,b=0.92,c=ln0.9,则a,b,c的大小关系是()A.a<b<cB.c<b<aC.c<a<bD.b<c<a5.根据表格中的数据,可以判定方程exx2=0﹣﹣的一个根所在的区间为()x﹣10123ex﹣x﹣2﹣0.63﹣1﹣0.283.3915.09A.(﹣1,0)B.(0,1)C.(1,2)D.(2,3)6.已知幂函数f(x)=(m﹣3)xm,则下列关于f(x)的说法不正确的是()A.f(x)的图象过原点B.f(x)的图象关于原点对称C.f(x)的图象关于y轴对称D.f(x)=x47.已知y=f(x)是定义在R上的偶函数,在区间[0,+∞)上单调递增,且f(1)=0,那么不等式>0的解集是()A.{x|x>1或﹣1<x<0}B.{x|x>1或x<﹣1}C.{x|0<x<1或x<﹣1}D.{x|﹣1<x<1且x≠0}8.若角θ满足=3,则tanθ的值为()A.﹣B.﹣2C.﹣D.19.如图是函数y=Asin(ωx+φ)(A>0,ω>0,0<φ<2π)在一个周期内的图象,则()A.A=2,ω=2,φ=B.A=2,ω=2,φ=C.A=2,ω=,φ=﹣D.A=2,ω=2,φ=﹣10.设函数f(x)=,则f(log2)+f()的值等于()A.B.1C.5D.711.定义在R上的函数f(x)=(其中a>0,且a≠1),对于任意x1≠x2都有<0成立,则实数a的取值范围是()A.[,1)B.(,]C.(,)D.(,1)12.已知a>0,函数f(x)=在区间[1,4]上的最大值等于,则a的值为()A.或B.C.2D.或2二、填空题(本大题共4小题,每小题3分,共12分)13.若一个扇形的圆心角为,所在圆的半径为2,则这个扇形的面积为.14.若sinA﹣cosA=,则sinA•cosA的值为.15.定义在R上的函数f(x)满足f(x+2)=﹣f(x),当﹣1≤x≤1时,f(x)=1﹣x2,则f[f(5)]等于.16.已知函数f(x)=sinx(x∈R),则下列四个说法:①函数g(x)=是奇函数;②函数f(x)满足:对任意x1,x2∈[0,π]且x1≠x2都有f()<[f(x1)+f(x2)];③若关于x的不等式f2(x)﹣f(x)+a≤0在R上有解,则实数a的取值范围是(﹣∞,];④若关于x的方程3﹣2cos2x=f(x)﹣a在[0,π]恰有4个不相等的解x1,x2,x3,x4;则实数a的取值范围是[﹣1,﹣),且x1+x2+x3+x4=2π;其中说法正确的序号是.三、解答题(本大题共6小题,共52分)17.已知集合A={x|a﹣4≤x≤a},B={x|x<﹣1或x>5}.(1)当a=0时,试求A∩B,A∪B;(2)若A∪B=B,求实数a的取值范围.18.已知y=f(x)是定义在R上的偶函数,当x≥0时,f(x)=x2﹣2x.(1)当x<0时,求函数f(x)的解析式;(2)若函数y=f(x)﹣kx+4(k≠0)在(﹣∞,0)上恰有两个零点,求实数k的取值范围.19.已知sin(α+)cos(α+)=,α∈(,),cos(2β﹣)=,β∈(,).(1)求sin(2α+)及cos(2α+)的值;(2)求cos(2α+2β)的值.20.某种产品的成本f1(x)(万元)与年产量x(吨)之间的函数关系是f1(x)=x2,该产品的销售单价f2(x)可以表示为关于年销量的一次函数,其部分图象如图所示,且生产的产品都能在当年销售完.(1)求f2(x)的解析式及定义域;(2)当年产量为多少吨时,所获利润s(万元)最大(注:利润=收入﹣成本);并求出s的最大值.21.将函数y=msinx(其中m≠0)的图象上的所有点向左平移个单位,再将所得图象上所有点的横坐标压缩到原来的倍,纵坐标保持不变,得到了函数y=f(x)的图象.(1)写出函数f(x)的表达式;(2)当m=时,求函数f(x)的最小正周期及对称中心;(3)若x∈[﹣,]时,函数f(x)的最大值为2,试求函数f(x)的最小值.22.已知f(logax)=x﹣(k∈R),且函数f(x)是定义域为R的奇函数,其中a>0,且a≠1.(1)求k的值;(2)判断函数f(x)的单调性,并证明你的结论;(3)若f(1)=时,不等式f(a2x+a﹣2x)+...

1、当您付费下载文档后,您只拥有了使用权限,并不意味着购买了版权,文档只能用于自身使用,不得用于其他商业用途(如 [转卖]进行直接盈利或[编辑后售卖]进行间接盈利)。
2、本站所有内容均由合作方或网友上传,本站不对文档的完整性、权威性及其观点立场正确性做任何保证或承诺!文档内容仅供研究参考,付费前请自行鉴别。
3、如文档内容存在违规,或者侵犯商业秘密、侵犯著作权等,请点击“违规举报”。

碎片内容

四川省德阳市高一数学上学期期末试卷(含解析)-人教版高一全册数学试题

您可能关注的文档

确认删除?
VIP
微信客服
  • 扫码咨询
会员Q群
  • 会员专属群点击这里加入QQ群
客服邮箱
回到顶部