电脑桌面
添加小米粒文库到电脑桌面
安装后可以在桌面快捷访问

江苏省宿迁市剑桥国际学校高三数学 午练(76)平面向量的数量积 苏教版VIP免费

江苏省宿迁市剑桥国际学校高三数学 午练(76)平面向量的数量积 苏教版_第1页
1/2
江苏省宿迁市剑桥国际学校高三数学 午练(76)平面向量的数量积 苏教版_第2页
2/2
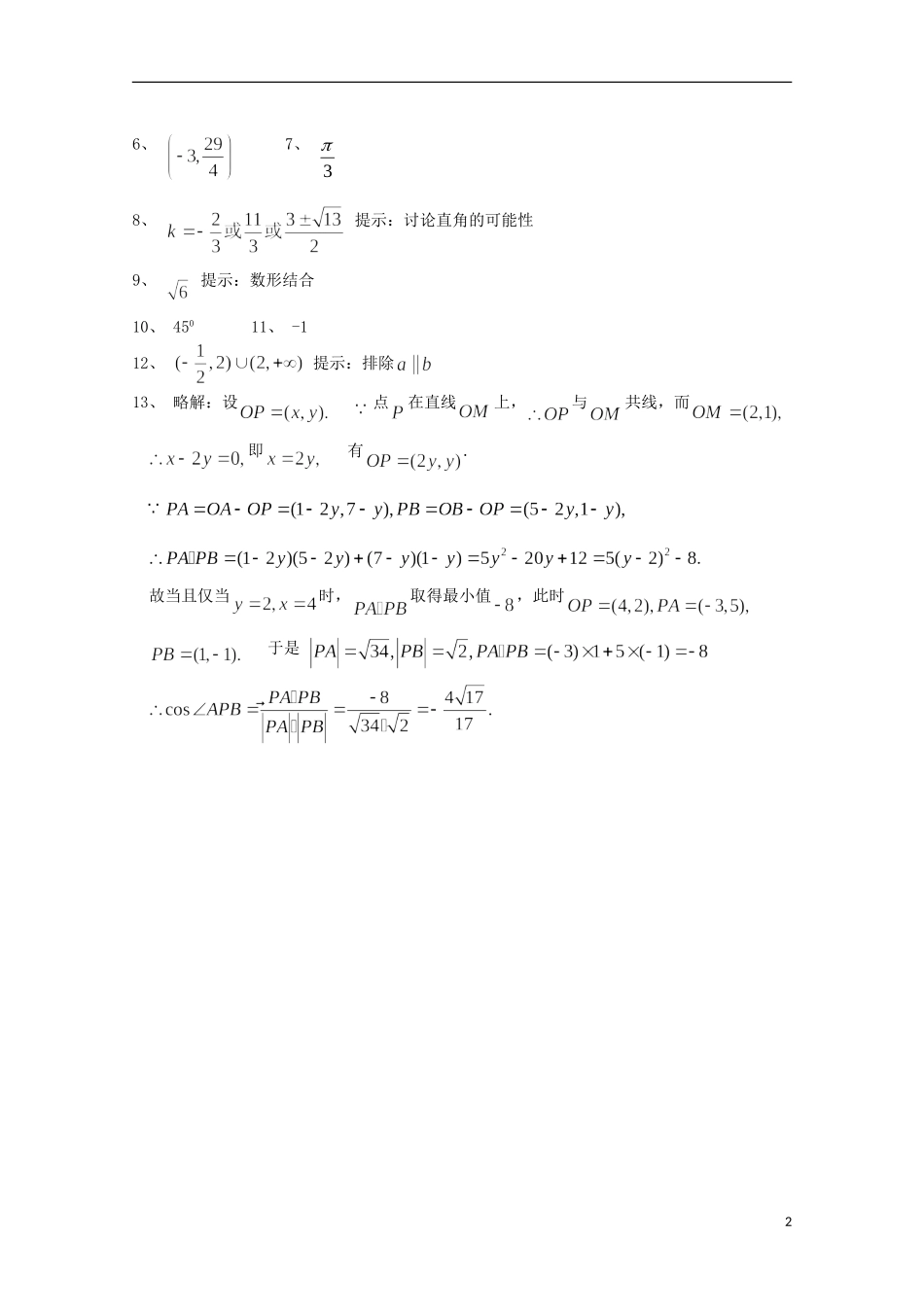
午间小练(76)平面向量的数量积1、已知与方向相同,且||=3,||=7,则|2-|=.2、若取两个互相垂直的单位向量i,j为基底,且已知a=3i+2j,b=i-3j,则5a与3b的数量积等于.3、已知,,与的夹角,则.4、若非零向量与满足,则.5、已知则的坐标是.6、已知,,且,,则点C的坐标为.7、若是非零向量且满足,,则与的夹角是.8、在中,,,则=.9、若向量则.10、若,则的夹角为.11、如果向量与,的夹角都是,而,且,则的值为.12、已知向量,,若与的夹角为钝角,则的取值范围是.13、设平面内的向量点是直线上的一个动点,求当取最小值时,的坐标及的余弦值.1、12、-453、4、05、(5,2)或(-5,-2)16、7、38、提示:讨论直角的可能性9、提示:数形结合10、45011、-112、提示:排除13、略解:设点在直线上,与共线,而即有.故当且仅当时,取得最小值,此时于是2

1、当您付费下载文档后,您只拥有了使用权限,并不意味着购买了版权,文档只能用于自身使用,不得用于其他商业用途(如 [转卖]进行直接盈利或[编辑后售卖]进行间接盈利)。
2、本站所有内容均由合作方或网友上传,本站不对文档的完整性、权威性及其观点立场正确性做任何保证或承诺!文档内容仅供研究参考,付费前请自行鉴别。
3、如文档内容存在违规,或者侵犯商业秘密、侵犯著作权等,请点击“违规举报”。

碎片内容

江苏省宿迁市剑桥国际学校高三数学 午练(76)平面向量的数量积 苏教版

您可能关注的文档

确认删除?
VIP
微信客服
  • 扫码咨询
会员Q群
  • 会员专属群点击这里加入QQ群
客服邮箱
回到顶部