电脑桌面
添加小米粒文库到电脑桌面
安装后可以在桌面快捷访问

江苏省宿迁市剑桥国际学校高三数学 午练(66)和差倍角的三角函数 苏教版VIP免费

江苏省宿迁市剑桥国际学校高三数学 午练(66)和差倍角的三角函数 苏教版_第1页
1/3
江苏省宿迁市剑桥国际学校高三数学 午练(66)和差倍角的三角函数 苏教版_第2页
2/3
江苏省宿迁市剑桥国际学校高三数学 午练(66)和差倍角的三角函数 苏教版_第3页
3/3
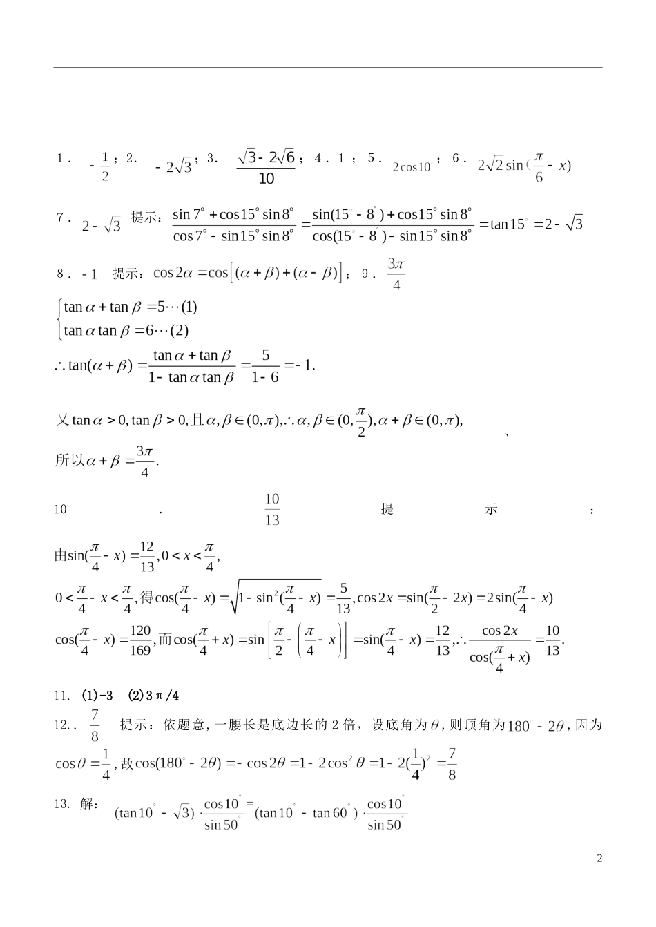
高三数学午间小练(66)和差倍角的三角函数1、.2、.3、.4、.5、化简:=.6、化简:=.7、求值:=.8、已知,则=.9、已知,且是方程的两根,则=.10、已知则=.11、在平面直角坐标系中,以轴为始边作两个锐角,它们的终边分别与单位圆相交于两点,已知的横坐标分别为,则=______.=________.12、如果等腰三角形的周长是底边长的5倍,那么它的顶角的余弦值为______________.13、求值:.11.;2.;3.;4.1;5.;6.7.提示:8.提示:;9.、10.提示:11.(1)-3(2)3π/412..提示:依题意,一腰长是底边长的2倍,设底角为,则顶角为,因为,故13.解:=2=3

1、当您付费下载文档后,您只拥有了使用权限,并不意味着购买了版权,文档只能用于自身使用,不得用于其他商业用途(如 [转卖]进行直接盈利或[编辑后售卖]进行间接盈利)。
2、本站所有内容均由合作方或网友上传,本站不对文档的完整性、权威性及其观点立场正确性做任何保证或承诺!文档内容仅供研究参考,付费前请自行鉴别。
3、如文档内容存在违规,或者侵犯商业秘密、侵犯著作权等,请点击“违规举报”。

碎片内容

江苏省宿迁市剑桥国际学校高三数学 午练(66)和差倍角的三角函数 苏教版

您可能关注的文档

确认删除?
VIP
微信客服
  • 扫码咨询
会员Q群
  • 会员专属群点击这里加入QQ群
客服邮箱
回到顶部