电脑桌面
添加小米粒文库到电脑桌面
安装后可以在桌面快捷访问

浙江省嘉兴一中11-12学年高一数学10月月考试题(无答案)新人教A版VIP免费

浙江省嘉兴一中11-12学年高一数学10月月考试题(无答案)新人教A版_第1页
1/6
浙江省嘉兴一中11-12学年高一数学10月月考试题(无答案)新人教A版_第2页
2/6
浙江省嘉兴一中11-12学年高一数学10月月考试题(无答案)新人教A版_第3页
3/6
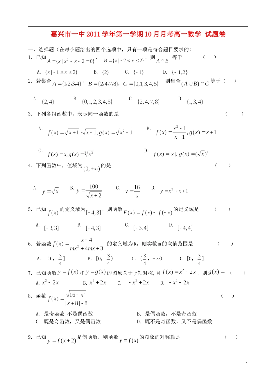
嘉兴市一中2011学年第一学期10月月考高一数学试题卷一、选择题(在每小题给出的四个选项中,只有一项是符合题目要求的)1.已知,,则等于()A.B.C.D.2.若集合,,则集合等于()A.B.C.D.3.下列各组函数中,表示同一函数的是()A.B.C.D.4.下列函数中,值域为的是()A.B.C.D.5.已知的定义域为,则函数的定义域是()A.B.C.D.6.若函数的定义域为R,则实数m的取值范围是()A.(0,]B.[0,)C.(,+∞)D.[0,]7.已知函数和的图象关于y轴对称,且,则()A.B.C.D.8.函数()A.是奇函数不是偶函数B.是偶函数,不是奇函数C.既是奇函数,又是偶函数D.既不是奇函数,又不是偶函数9.已知是偶函数,则函数的图象的对称轴是()1A.B.C.D.10.奇函数在上为增函数,且,则不等式的解集为()A.B.C.D.二、填空题(本大题共6小题,每小题3分,共18分.把答案填在答卷中相应横线上)11.若全集,,,则=.高考资源网12.如图,函数的图象是折线段,其中点的坐标分别为,则.13.若则=14.函数满足:,则的最小值为.高考资源网15.奇函数当时,则当时,=____三、解答题(本大题共6小题,共46分,解答应写出文字说明,证明过程和演算步骤)16.(本题满分6分)已知全集,,,若,,求.217.已知集合,.(1)求;(2)若,求的取值范围。18.已知函数,且对任意的实数都有成立.(1)求实数的值;(2)利用单调性的定义证明函数在区间上是增函数.319.如图,有一块矩形空地,要在这块空地上辟一个内接四边形为绿地,使其四个顶点分别落在矩形的四条边上,已知AB=(>2),BC=2,且AE=AH=CF=CG,设AE=,绿地面积为.(1)写出关于的函数关系式,并指出这个函数的定义域.(2)当AE为何值时,绿地面积最大?20.已知函数对一切实数都有成立,且(1)求的值;(2)求的解析式;(3)已知,设:当时,不等式恒成立;:当时,是单调函数。如果满足成立的的集合记为,满足成立的的集合记为,求∩(为全集)。嘉兴一中2011学年高一第一学期10月月考4●●●●●●●●●●●●●●●●●●●●●●●●●●●●●●●●●●●●●●●●●●●●●●●●密封线班级学号姓名(密封线内不要答题)●●●●●●●●●●●●●●●●●●●●●●●●●●●●●●●●●●●●●●●●●●●●●●●●DAEBFCGH高一数学答题卷一、选择题:(涂在答题卡上)二、填空题:11.12.13.14.15.三、解答题:16.17.18.519.20.6

1、当您付费下载文档后,您只拥有了使用权限,并不意味着购买了版权,文档只能用于自身使用,不得用于其他商业用途(如 [转卖]进行直接盈利或[编辑后售卖]进行间接盈利)。
2、本站所有内容均由合作方或网友上传,本站不对文档的完整性、权威性及其观点立场正确性做任何保证或承诺!文档内容仅供研究参考,付费前请自行鉴别。
3、如文档内容存在违规,或者侵犯商业秘密、侵犯著作权等,请点击“违规举报”。

碎片内容

浙江省嘉兴一中11-12学年高一数学10月月考试题(无答案)新人教A版

您可能关注的文档

远洋启航书店+ 关注
实名认证
内容提供者

从事历史教学,热爱教育,高度负责。

确认删除?
VIP
微信客服
  • 扫码咨询
会员Q群
  • 会员专属群点击这里加入QQ群
客服邮箱
回到顶部