电脑桌面
添加小米粒文库到电脑桌面
安装后可以在桌面快捷访问

江苏省大丰市南阳中学高一数学《函数的概念》练习题VIP免费

江苏省大丰市南阳中学高一数学《函数的概念》练习题_第1页
1/3
江苏省大丰市南阳中学高一数学《函数的概念》练习题_第2页
2/3
江苏省大丰市南阳中学高一数学《函数的概念》练习题_第3页
3/3
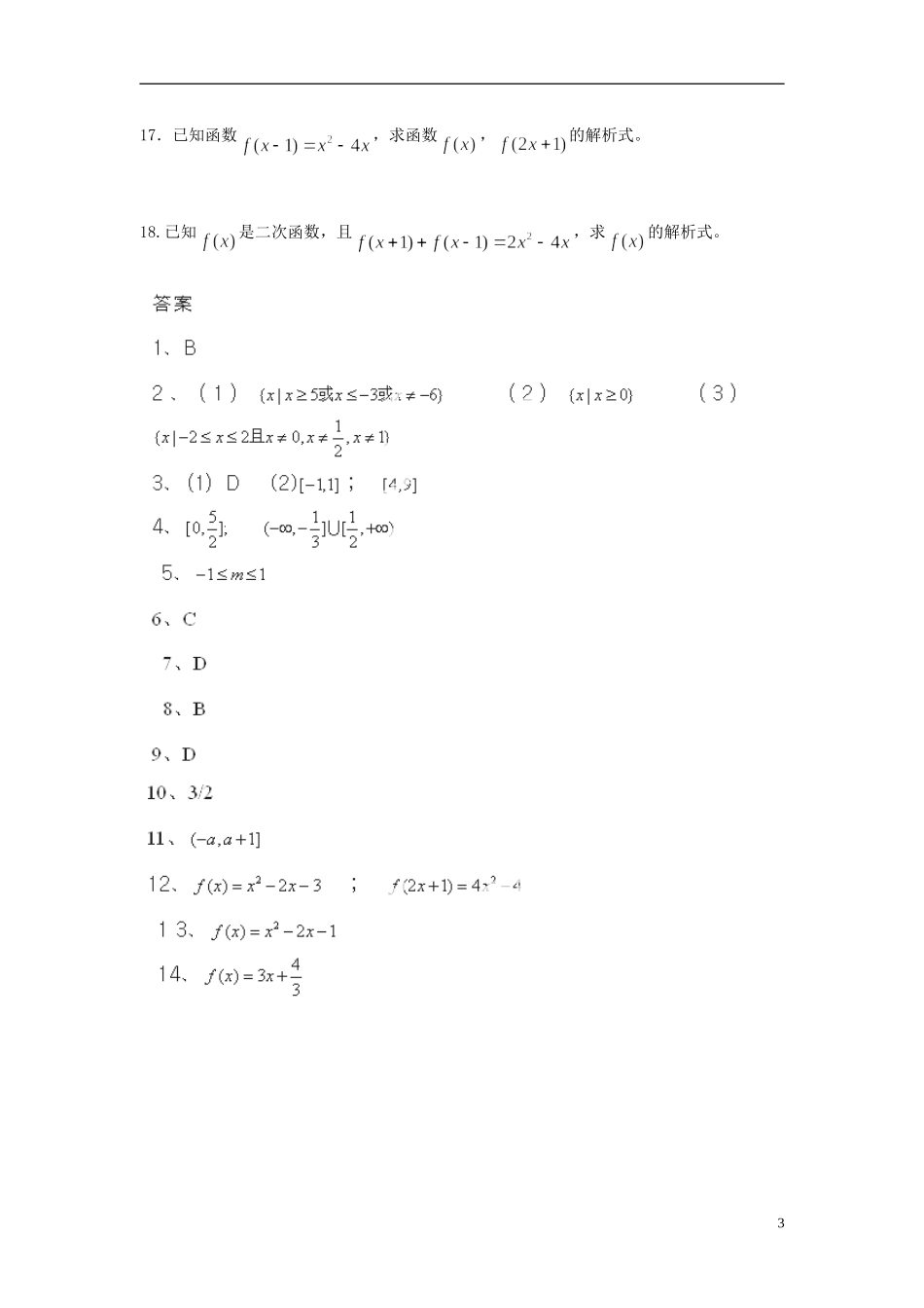
江苏省大丰市南阳中学高一数学《函数的概念》练习题1、下列四个图像中,是函数图像的是()。A.(1)B.(1)、(3)、(4)C.(1)、(2)、(3)D.(3)(4)2.下列图象中不能作为函数图象的是()3、求下列函数的定义域:⑴⑵⑶4.判断下列各组中的两个函数是同一函数的为()⑴,;⑵,;⑶,;⑷,;⑸,。A、⑴、⑵B、⑵、⑶C、⑷D、⑶、⑸5.下列各组函数中表示同一函数的是()1(A)与(B)与(C)与(D)与6、已知函数xxf21)(的定义域为M,2)(xxg的定义域为N,则NMA.2xxB.2xxC.22xxD.22xx7.设函数fx()的定义域为[]01,,则函数fx()2的定义域为___;函数fx()2的定义域为________;8.知函数fx()的定义域为,且函数的定义域存在,求实数的取值范围。9、函数的图象与直线y=a的交点个数()A.至少有一个B.至多有两个C.必有两个D.有一个或两个10、若函数的定义域为[]23,,则函数的定义域是;函数的定义域为。11、若函数=的定义域为,则实数的取值范围是()A、(-∞,+∞)B、(0,C、(,+∞)D、[0,12、若函数的定义域为,则实数的取值范围是()(A)(B)(C)(D)13、数的定义域是()A、B、C、D、14、函数的定义域是_____________.15、已知函数fx()的定义域是(]01,,则gxfxafxaa()()()()120的定义域为。16、已知函数满足,求的解析式。217.已知函数,求函数,的解析式。18.已知是二次函数,且,求的解析式。3

1、当您付费下载文档后,您只拥有了使用权限,并不意味着购买了版权,文档只能用于自身使用,不得用于其他商业用途(如 [转卖]进行直接盈利或[编辑后售卖]进行间接盈利)。
2、本站所有内容均由合作方或网友上传,本站不对文档的完整性、权威性及其观点立场正确性做任何保证或承诺!文档内容仅供研究参考,付费前请自行鉴别。
3、如文档内容存在违规,或者侵犯商业秘密、侵犯著作权等,请点击“违规举报”。

碎片内容

江苏省大丰市南阳中学高一数学《函数的概念》练习题

您可能关注的文档

海博书城+ 关注
实名认证
内容提供者

从事历史教学,热爱教育,高度负责。

确认删除?
VIP
微信客服
  • 扫码咨询
会员Q群
  • 会员专属群点击这里加入QQ群
客服邮箱
回到顶部