电脑桌面
添加小米粒文库到电脑桌面
安装后可以在桌面快捷访问

江苏省宿迁市剑桥国际学校高三数学 午练(65)三角函数的性质 苏教版VIP免费

江苏省宿迁市剑桥国际学校高三数学 午练(65)三角函数的性质 苏教版_第1页
1/2
江苏省宿迁市剑桥国际学校高三数学 午练(65)三角函数的性质 苏教版_第2页
2/2
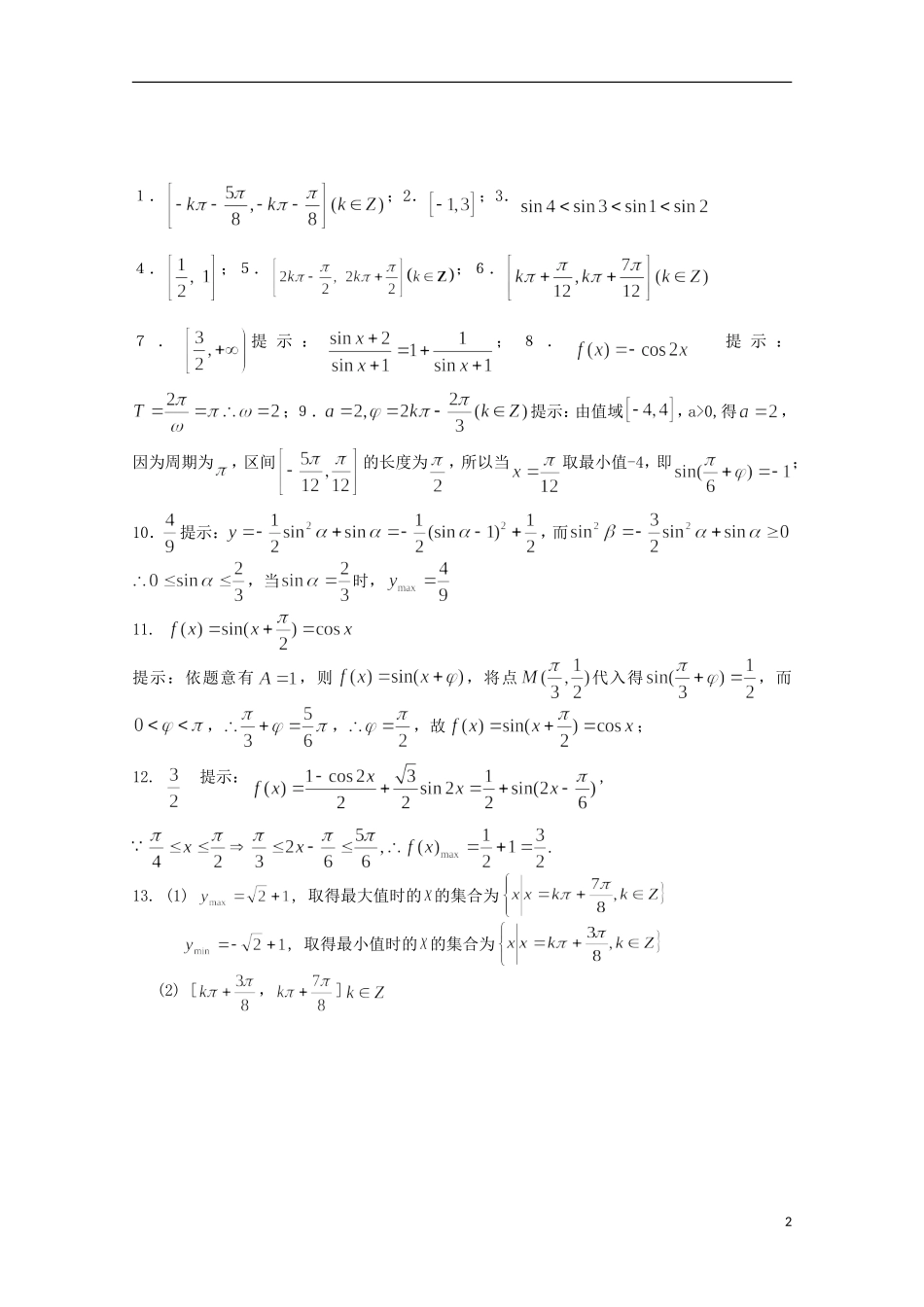
高三数学基础训练测试题65三角函数的性质1、函数y=sin(-2x)的单调递增区间是.2、函数的值域为.3、将用“<”号连接得.4、函数的值域为.5、函数的单调递增区间.6、函数的单调递减区间是.7、函数的值域是.8、若既是区间上的增函数,又是以为最小正周期的偶函数,请你写出一个满足条件的函数.9、已知函数的值域是及上单调递减,则常数==.10、已知,则函数的最大值是.11、已知函数,的最大值是1,其图像经过点.则的解析式为___________________.12、函数在区间上的最大值是_____________13、已知函数求函数的最大值和最小值以及取最大、最小值时相应的取值集合;写出函数的单调递增区间.11.;2.;3.4.;5.;6.7.提示:;8.提示:;9.提示:由值域,a>0,得,因为周期为,区间的长度为,所以当取最小值-4,即;10.提示:,而,当时,11.提示:依题意有,则,将点代入得,而,,,故;12.提示:,13.(1),取得最大值时的的集合为,取得最小值时的的集合为(2)[,]2

1、当您付费下载文档后,您只拥有了使用权限,并不意味着购买了版权,文档只能用于自身使用,不得用于其他商业用途(如 [转卖]进行直接盈利或[编辑后售卖]进行间接盈利)。
2、本站所有内容均由合作方或网友上传,本站不对文档的完整性、权威性及其观点立场正确性做任何保证或承诺!文档内容仅供研究参考,付费前请自行鉴别。
3、如文档内容存在违规,或者侵犯商业秘密、侵犯著作权等,请点击“违规举报”。

碎片内容

江苏省宿迁市剑桥国际学校高三数学 午练(65)三角函数的性质 苏教版

您可能关注的文档

确认删除?
VIP
微信客服
  • 扫码咨询
会员Q群
  • 会员专属群点击这里加入QQ群
客服邮箱
回到顶部