电脑桌面
添加小米粒文库到电脑桌面
安装后可以在桌面快捷访问

江苏省宿迁市剑桥国际学校高三数学 午练(64)三角函数的性质(1) 苏教版VIP免费

江苏省宿迁市剑桥国际学校高三数学 午练(64)三角函数的性质(1) 苏教版_第1页
1/3
江苏省宿迁市剑桥国际学校高三数学 午练(64)三角函数的性质(1) 苏教版_第2页
2/3
江苏省宿迁市剑桥国际学校高三数学 午练(64)三角函数的性质(1) 苏教版_第3页
3/3
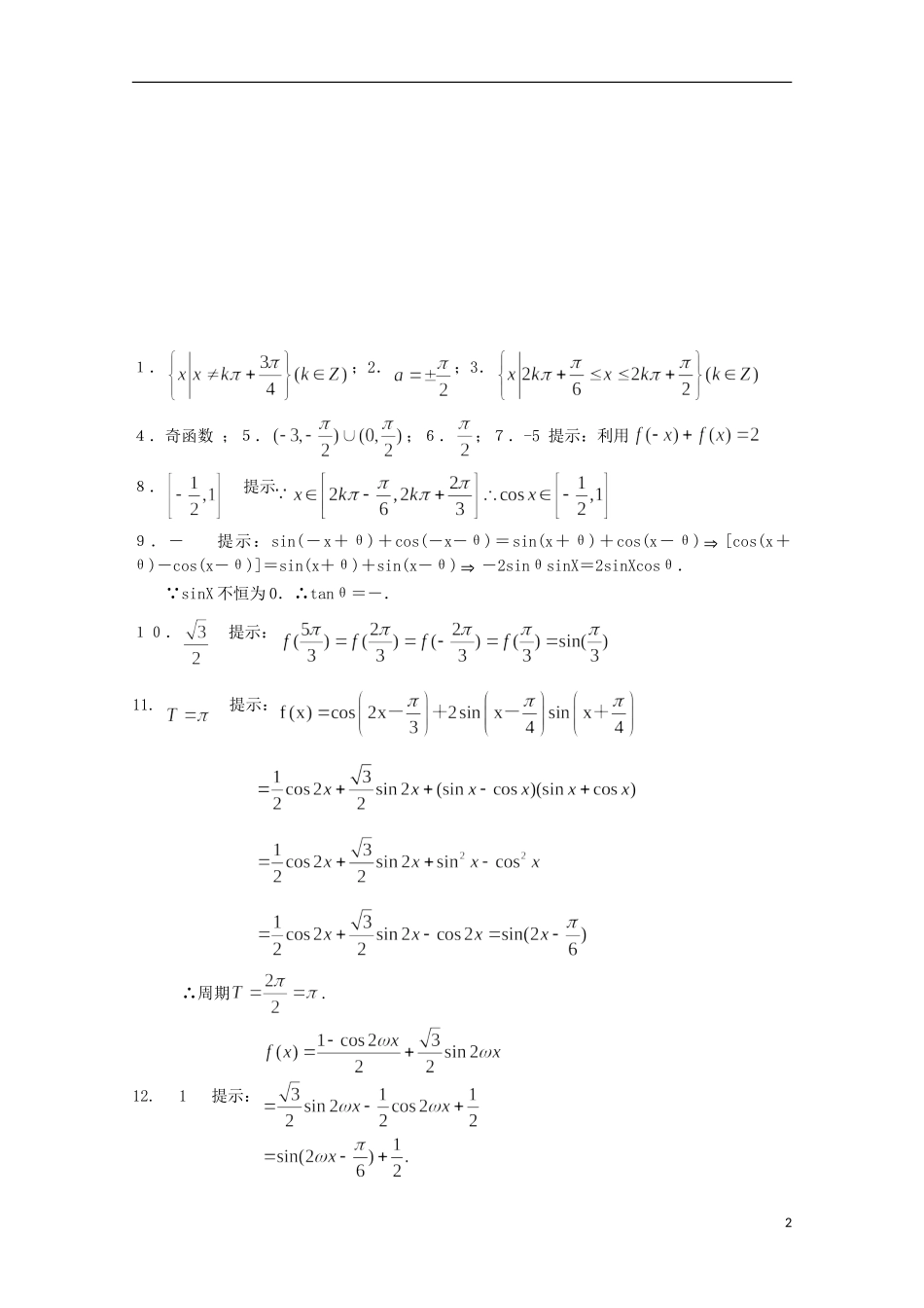
高三数学午间小练(64)三角函数的性质(1)1、函数的定义域为.2、函数的最小正周期为,则实数的值为.3、求函数的定义域为.4、函数的奇偶性是.5、函数的定义域为.6、函数的最小正周期是.7、已知函数,且,则的值是.8、函数的定义域为,则函数的定义域为.9、已知f(x)=sin(x+θ)+cos(x-θ)为偶函数,则tanθ=.10、定义在R上的函数既是偶函数又是周期函数.若的最小正周期是,且当时,,则的值为.11、已知函数.则函数的最小正周期___.12、已知函数f(x)=sin2ωx+sinωxsin(ωx+)(ω>0)的最小正周期为π.则ω的值=_________.13、求y=的定义域.11.;2.;3.4.奇函数;5.;6.;7.-5提示:利用8.提示9.-提示:sin(-x+θ)+cos(―x―θ)=sin(x+θ)+cos(x-θ)[cos(x+θ)―cos(x―θ)]=sin(x+θ)+sin(x―θ)―2sinθsinX=2sinXcosθ.∵sinX不恒为0.∴tanθ=-.10.提示:11.提示:∴周期.12.1提示:2因为函数f(x)的最小正周期为π,且ω>0,所以解得ω=1.13.解:由题意得(kZ)2kπ-<x<2kπ或2k

1、当您付费下载文档后,您只拥有了使用权限,并不意味着购买了版权,文档只能用于自身使用,不得用于其他商业用途(如 [转卖]进行直接盈利或[编辑后售卖]进行间接盈利)。
2、本站所有内容均由合作方或网友上传,本站不对文档的完整性、权威性及其观点立场正确性做任何保证或承诺!文档内容仅供研究参考,付费前请自行鉴别。
3、如文档内容存在违规,或者侵犯商业秘密、侵犯著作权等,请点击“违规举报”。

碎片内容

江苏省宿迁市剑桥国际学校高三数学 午练(64)三角函数的性质(1) 苏教版

您可能关注的文档

确认删除?
微信客服
  • 扫码咨询
会员Q群
  • 会员专属群点击这里加入QQ群