电脑桌面
添加小米粒文库到电脑桌面
安装后可以在桌面快捷访问

江苏省宿迁市剑桥国际学校高三数学 午练(77)平面向量 苏教版VIP免费

江苏省宿迁市剑桥国际学校高三数学 午练(77)平面向量 苏教版_第1页
1/2
江苏省宿迁市剑桥国际学校高三数学 午练(77)平面向量 苏教版_第2页
2/2
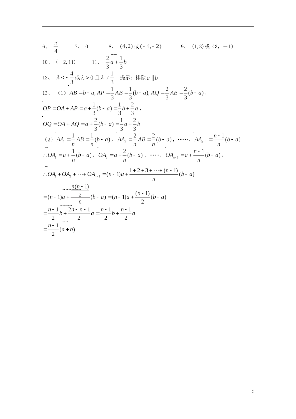
abOBAQP高三数学午间小练(77)平面向量单元练习1、已知,则.2、|a|=3,|b|=4,向量a+b与a-b的位置关系为.3、|a|=4,|b|=5,|a-b|=,则a,b的夹角的大小为.4、在边长为的正三角形ABC中,设=c,=a,=b,则a·b+b·c+c·a=.5、已知a、b均为单位向量,它们的夹角为60°,那么|a+3b|=.6、若|,且()⊥,则与的夹角是.7、已知向量a与b的夹角为120°,且|a|=|b|=4,那么b·(2a+b)的值为.8、若平面向量与向量平行,且,则.9、以原点O和A(4,2)为两个顶点作等腰直角三角形OAB,,则点B的坐标是.10、己知P1(2,-1)、P2(0,5)且点P在P1P2的延长线上,,则P点坐标为.11、在平行四边形ABCD中,AC与BD交于点O,E是线段OD的中点,AE的延长线与CD交于点F,若则.12、已知,,如果与的夹角为锐角,则的取值范围是.13、设点P、Q分别是线段AB的三等分点,若,.(1)试用表示向量,.(2)如果点是AB的n()等分点,试用表示:.(注:…)1、282、垂直3、4、-35、16、7、08、或9、(1,3)或(3,-1)10、(-2,11)11、12、或且提示:排除13、(1),,(2),,……,,,……,,2

1、当您付费下载文档后,您只拥有了使用权限,并不意味着购买了版权,文档只能用于自身使用,不得用于其他商业用途(如 [转卖]进行直接盈利或[编辑后售卖]进行间接盈利)。
2、本站所有内容均由合作方或网友上传,本站不对文档的完整性、权威性及其观点立场正确性做任何保证或承诺!文档内容仅供研究参考,付费前请自行鉴别。
3、如文档内容存在违规,或者侵犯商业秘密、侵犯著作权等,请点击“违规举报”。

碎片内容

江苏省宿迁市剑桥国际学校高三数学 午练(77)平面向量 苏教版

您可能关注的文档

确认删除?
VIP
微信客服
  • 扫码咨询
会员Q群
  • 会员专属群点击这里加入QQ群
客服邮箱
回到顶部