电脑桌面
添加小米粒文库到电脑桌面
安装后可以在桌面快捷访问

高考数学 专题36 空间向量在立体几何中的应用黄金解题模板-人教版高三全册数学试题VIP免费

高考数学 专题36 空间向量在立体几何中的应用黄金解题模板-人教版高三全册数学试题_第1页
1/54
高考数学 专题36 空间向量在立体几何中的应用黄金解题模板-人教版高三全册数学试题_第2页
2/54
高考数学 专题36 空间向量在立体几何中的应用黄金解题模板-人教版高三全册数学试题_第3页
3/54
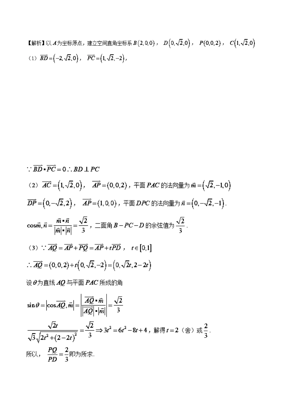
专题36空间向量在立体几何中的应用【高考地位】向量在立体几何中占有重要的地位,且扮演着一个非常重要的角色,其应用打破了立体几何的传统解法,可以减少大量的辅助作图以及对图形的分析、想象过程,能直接使用代数运算来解决立体几何中的计算和证明问题.在近几年的高考中几乎每年都有出现,其题型主要是大题形式出现,有时也会在选择题或填空题中应用.【方法点评】类型一证明垂直使用情景:立体几何中证明垂直问题解题模板:第一步首先根据已知条件建立适当的空间直角坐标系并标出相应点的空间坐标;第二步然后将已知条件转化为空间向量问题并对其进行求解;第三步得出结论.例1、【2018天津滨海新区联考】在四棱锥中,平面,,,,.(1)证明;(2)求二面角的余弦值;(3)设点为线段上一点,且直线平面所成角的正弦值为,求的值.【变式演练1】已知正方体ABCD—A1B1C1D1的棱长为2,P、Q分别是BC、CD上的动点,且|PQ|=,建立如右图所示的坐标系;确定P、Q的位置,使得B1Q⊥D1P;解:设BP=t,则,,∴B1(2,0,2),D1(0,2,2),P(2,t,0),.∴,=(-2,2-t,2). B1Q⊥D1P等价于,即,即.解得t=1.此时,P、Q分别是棱BC、CD的中点,即当P、Q分别是棱BC、CD的中点时,B1Q⊥D1P.例2、【2018贵州贵阳第一中学模拟】如图,在三棱锥中,分别是的中点,平面平面,,是边长为2的正三角形,.(1)求证:平面;(2)求二面角的余弦值.(Ⅱ)解:平面BDF的一个法向量,平面BDE(即平面ABK)的一个法向量为,所以二面角的余弦值为.【变式演练2】如图,在四棱锥P-ABCD中,底面ABCD是矩形,PA⊥平面ABCD,AP=AB=2,BC=2,E,F分别是AD,PC的中点.证明:PC⊥平面BEF;∴⊥,⊥,∴PC⊥BF,PC⊥EF,BF∩EF=F,∴PC⊥平面BEF.例3.【2018吉林东北师范大学附属中模拟】如图,已知四棱锥的底面为直角梯形,,,,且,,是的中点。(Ⅰ)求证:;(Ⅱ)求二面角的余弦值。,故所求二面角的余弦值为。【变式演练3】已知梯形如下图所示,其中,,为线段的中点,四边形为正方形,现沿进行折叠,使得平面平面,得到如图所示的几何体.已知当点满足时,平面平面,则的值为()A.B.C.D.【答案】C类型二证明平行使用情景:立体几何中证明平行问题解题模板:第一步首先根据已知条件建立适当的空间直角坐标系并标出相应点的空间坐标;第二步然后将已知条件转化为空间向量问题并对其进行求解;第三步得出结论.例4.【2018天津市河西区模拟】如图,已知梯形中,,,,四边形为矩形,,平面平面.(Ⅰ)求证:平面;(Ⅱ)求平面与平面所成锐二面角的余弦值;(Ⅲ)在线段上是否存在点,使得直线与平面所成角的正弦值为,若存在,求出线段的长;若不存在,请说明理由.(Ⅱ)解: ,,设平面的法向量,∴不妨设,∴,∴平面与平面所成锐二面角的余弦值为.(Ⅲ)设,,∴,∴,又 平面的法向量,【变式演练4】如图,在四棱锥中,底面是正方形,侧棱⊥底面,,是的中点,作交于点.(1)求证:平面;(2)求二面角的正弦值.(2),又,故,所以.由已知,且,所以平面.………7分所以平面的一个法向量为.,不妨设平面的法向量为则不妨取则,即…10分设求二面角的平面角为因为,所以.二面角的正弦值大小为.………12分类型三求异面直线所成的角使用情景:立体几何中异面直线所成的角问题解题模板:第一步首先根据已知条件建立适当的空间直角坐标系并标出相应点的空间坐标;第二步然后根据已知条件求出所求两直线的方向向量;第三步由向量的数量积计算公式即可得出结论.例5、如图,在三棱柱中,底面为正三角形,侧棱垂直底面,,.若,分别是棱,上的点,且,,则异面直线与所成角的余弦值为()A.B.C.D.【答案】D【变式演练5】【2018南京市、盐城市模拟】如图,在直四棱柱ABCD-A1B1C1D1中,底面四边形ABCD为菱形,A1A=AB=2,∠ABC=,E,F分别是BC,A1C的中点.(1)求异面直线EF,AD所成角的余弦值;(2)点M在线段A1D上,.若CM∥平面AEF,求实数λ的值.类型四求直线与平面所成的角使用情景:立体几何中直线与平面所成的角问题解题模板:第一步首先根据已知条件建立适当的空间直角坐标系并标出相应点的空间坐标;第二步然后...

1、当您付费下载文档后,您只拥有了使用权限,并不意味着购买了版权,文档只能用于自身使用,不得用于其他商业用途(如 [转卖]进行直接盈利或[编辑后售卖]进行间接盈利)。
2、本站所有内容均由合作方或网友上传,本站不对文档的完整性、权威性及其观点立场正确性做任何保证或承诺!文档内容仅供研究参考,付费前请自行鉴别。
3、如文档内容存在违规,或者侵犯商业秘密、侵犯著作权等,请点击“违规举报”。

碎片内容

高考数学 专题36 空间向量在立体几何中的应用黄金解题模板-人教版高三全册数学试题

您可能关注的文档

确认删除?
VIP
微信客服
  • 扫码咨询
会员Q群
  • 会员专属群点击这里加入QQ群
客服邮箱
回到顶部