电脑桌面
添加小米粒文库到电脑桌面
安装后可以在桌面快捷访问

高中数学 探究导学课型 第一章 集合与函数的概念 1.3.1 单调性与最大(小)值 第1课时 函数的单调性课堂10分钟达标 新人教版必修1-新人教版高一必修1数学试题VIP免费

高中数学 探究导学课型 第一章 集合与函数的概念 1.3.1 单调性与最大(小)值 第1课时 函数的单调性课堂10分钟达标 新人教版必修1-新人教版高一必修1数学试题_第1页
1/2
高中数学 探究导学课型 第一章 集合与函数的概念 1.3.1 单调性与最大(小)值 第1课时 函数的单调性课堂10分钟达标 新人教版必修1-新人教版高一必修1数学试题_第2页
2/2
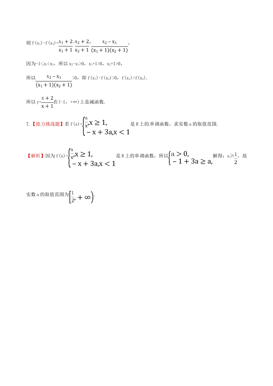
第一章集合与函数的概念1.3.1单调性与最大(小)值第1课时函数的单调性课堂10分钟达标新人教版必修11.设f(x)=(2a-1)x+b在R上是减函数,则有()A.a≥B.a≤C.a>-D.a<【解析】选D.因为y=(2a-1)x+b在R上是减函数,所以2a-1<0,即a<.2.下列函数中,在(-∞,0]内为增函数的是()A.y=x2-2B.y=C.y=1+2xD.y=-(x+2)2【解析】选C.y=x2-2在(-∞,0]上是减函数,y=在(-∞,0)内是减函数.y=1+2x在R上为增函数,所以在(-∞,0)上是增函数.y=-(x+2)2在(-∞,-2)上是增函数,在(-2,+∞)上是减函数.3.若函数f(x)在R上单调递增,且f(m)nB.mf(2m-1),则实数m的取值范围是.【解析】由f(m-1)>f(2m-1)且f(x)是R上的减函数,得m-1<2m-1,所以m>0.答案:m>06.利用单调性的定义,证明函数y=在(-1,+∞)上是减函数.【证明】任取x1,x2∈(-1,+∞)且x10,x1+1>0,x2+1>0,所以>0,即f(x1)-f(x2)>0,f(x1)>f(x2).所以y=在(-1,+∞)上是减函数.7.【能力挑战题】若f(x)=是R上的单调函数,求实数a的取值范围.【解析】因为f(x)=是R上的单调函数,所以解得:a≥,故实数a的取值范围为.

1、当您付费下载文档后,您只拥有了使用权限,并不意味着购买了版权,文档只能用于自身使用,不得用于其他商业用途(如 [转卖]进行直接盈利或[编辑后售卖]进行间接盈利)。
2、本站所有内容均由合作方或网友上传,本站不对文档的完整性、权威性及其观点立场正确性做任何保证或承诺!文档内容仅供研究参考,付费前请自行鉴别。
3、如文档内容存在违规,或者侵犯商业秘密、侵犯著作权等,请点击“违规举报”。

碎片内容

高中数学 探究导学课型 第一章 集合与函数的概念 1.3.1 单调性与最大(小)值 第1课时 函数的单调性课堂10分钟达标 新人教版必修1-新人教版高一必修1数学试题

您可能关注的文档

慧源书店+ 关注
实名认证
内容提供者

从事历史教学,热爱教育,高度负责。

相关文档

确认删除?
VIP
微信客服
  • 扫码咨询
会员Q群
  • 会员专属群点击这里加入QQ群
客服邮箱
回到顶部