电脑桌面
添加小米粒文库到电脑桌面
安装后可以在桌面快捷访问

有理数混合运算测试题VIP免费

有理数混合运算测试题_第1页
1/4
有理数混合运算测试题_第2页
2/4
有理数混合运算测试题_第3页
3/4
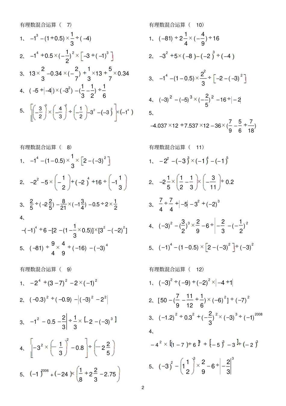
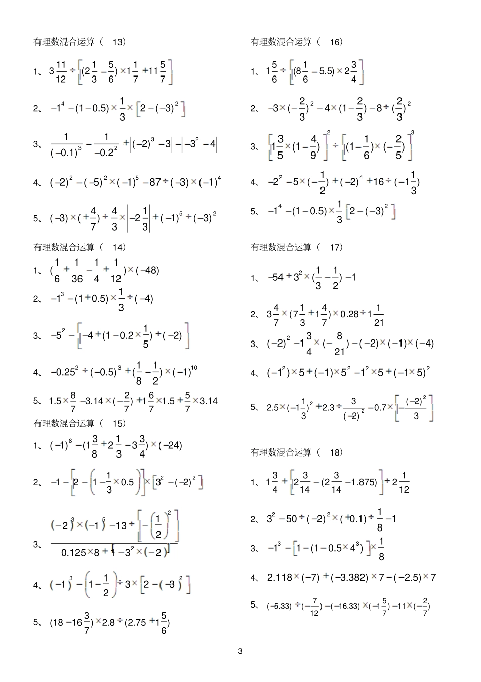
1有理数混合运算(1)1、(-10)3+2)31()4(222、236213(2)(1)(3)3(2)63、2320035(2)(10.8)(2)(1)44、2432315.0115、222232007131.20.3()(3)(1)3有理数混合运算(2)1、60165127432、223261(3)(0.2)23(1)2543、22233(3)3()(2)0.1252444、2)1(2)73(63225、7222722267227有理数混合运算(3)1、)12()653221(2、22112(10.5)3(2)33、33118(3)5()(15)524、321(1)(10.5)2(3)35、有理数混合运算(4)1、(23-14-38+524)×482、274)311(164)41(25.022223、3233112()(2)()(2)(2)224、521)21(212)75(752115、2220032002121(3)()(2)29有理数混合运算(5)1、20082009200820090.125(8)(1)(1)2、8783113(1)(3)13(10)4223、2220032003121(3)()(2)294、23111(2)(1)()12365、31125(25)25424有理数混合运算(6)1、32211(0.5)2(3)0.53382、22371(2)0.5(2.24)(2)183、11249()0.8(5)2954、23113(2)[()()]||(5)2245、21[1(10.5)][2(3)]32有理数混合运算(7)1、311(10.5)(4)32、423110.5()3(1)23、2215130.34()130.3437374、2111(54)(3)()3265、43223133213423有理数混合运算(8)1、4211(10.5)2(3)32、4211252161233、2125.0)431(218)522(524、4221(1)6[2(10.5)][3(2)]35、4)3()16(9449)81(有理数混合运算(9)1、224)1(2)73(22、2222)3()9.0()3.0(3、32)3(231325.014、5228.031322--5、20061+75.23228124有理数混合运算(10)1、16)94(412)81(2、32358243、24221(10.5)2(3)34、216)52()5()3(2325、7574.037127.5371236()9618有理数混合运算(11)1、543211322、111320.2523113、237753(2)444、2323221(3)()6()29325、422(1)(10.5)2(3)(3)有理数混合运算(12)1、22(3)(9)(2)412、22)7(])6()61121197(50[3、20083222)1()3()32(3.0)2.1(4、333223567145、3321223162933有理数混合运算(13)1、7511711)65312(121132、4211(10.5)2(3)33、323211(2)334(0.1)0.24、2254(2)(5)(1)87(3)(1)5、52441(3)()2(1)(3)733有理数混合运算(14)1、1111()(48)6364122、311(10.5)(4)33、2154(10.2)(2)54、2310110.25(0.5)()(1)825、82651.53.14()11.53.147777有理数混合运算(15)1、8313(1)(123)(24)8342、2211210.53(2)33、2318125.021131222534、3211132325、)6512.75(8.2)7316(18有理数混合运算(16)1、432)5.5618(6512、222223()4(1)8()3333、2334121(1)(1)()59654、241125()(2)16(1)235、4211(10.5)2(3)3有理数混合运算(17)1、211543()1322、211128.0)741317(7433、238(2)1()(2)(1)(4)4214、2222(1)5(1)515(15)5、22213(2)2.5(1)2.30.73(2)3有理数混合运算(18)1、1212)875.11432(14324312、221350(2)(0.1)183、33111(10.54)84、2.118(7)(3.382)7(2.5)75、752(5.33)()(16.33)(1)11()12774有理数混合运算(19)1、3112525254242、42311(8)0.5()3(1)23、25171()24(5)1386124、33315(9)28443125、21531(77)()()7356有理数混合运算(20)1、721)50107.0714(3.62、232311(5)(13)(1)(0.2)(0.1)3、2111(54)(3)()3264、2310122(3)(1)6(1)2935、2215130.34()130.343737有理数混合运算(21)1、5310531027.473.153102、22311111(11)(1)()()2323、111(2)(3)(4)()2344、52352(5)(1)4(1)(3)4735、23113(2)()()(5)224有理数混合运算(22)1、24811313(1)12324428342、)421()657331(3、2212(10.5)3(2)34、222475(5)4(3)()(7)8115、2222241.5()2.3()4()393有理数混合运算(23)1、321)2013(1.158).152(52、22123(3)()()(3)3353、3223110.5(0.25)()(2)(1)434、223423()(2)3()(2)5525、666(5)(3)(7)(3)12(3)777有理数混合运算(24)1、232110.52(3)332、35233.625626.4(1)32583、242311(9)(11)(3)31134、223423()(2)3()(2)5525、494(81)(16)(3)49

1、当您付费下载文档后,您只拥有了使用权限,并不意味着购买了版权,文档只能用于自身使用,不得用于其他商业用途(如 [转卖]进行直接盈利或[编辑后售卖]进行间接盈利)。
2、本站所有内容均由合作方或网友上传,本站不对文档的完整性、权威性及其观点立场正确性做任何保证或承诺!文档内容仅供研究参考,付费前请自行鉴别。
3、如文档内容存在违规,或者侵犯商业秘密、侵犯著作权等,请点击“违规举报”。

碎片内容

有理数混合运算测试题

文库响当当+ 关注
实名认证
内容提供者

该用户很懒,什么也没介绍

相关文档

确认删除?
VIP
微信客服
  • 扫码咨询
会员Q群
  • 会员专属群点击这里加入QQ群
客服邮箱
回到顶部