电脑桌面
添加小米粒文库到电脑桌面
安装后可以在桌面快捷访问

污水处理厂设计计算VIP免费

污水处理厂设计计算_第1页
1/19
污水处理厂设计计算_第2页
2/19
污水处理厂设计计算_第3页
3/19
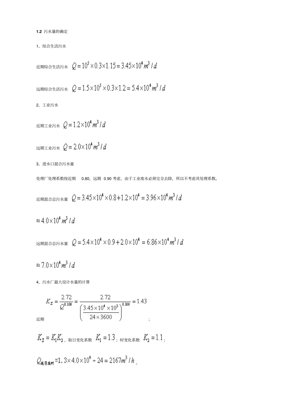
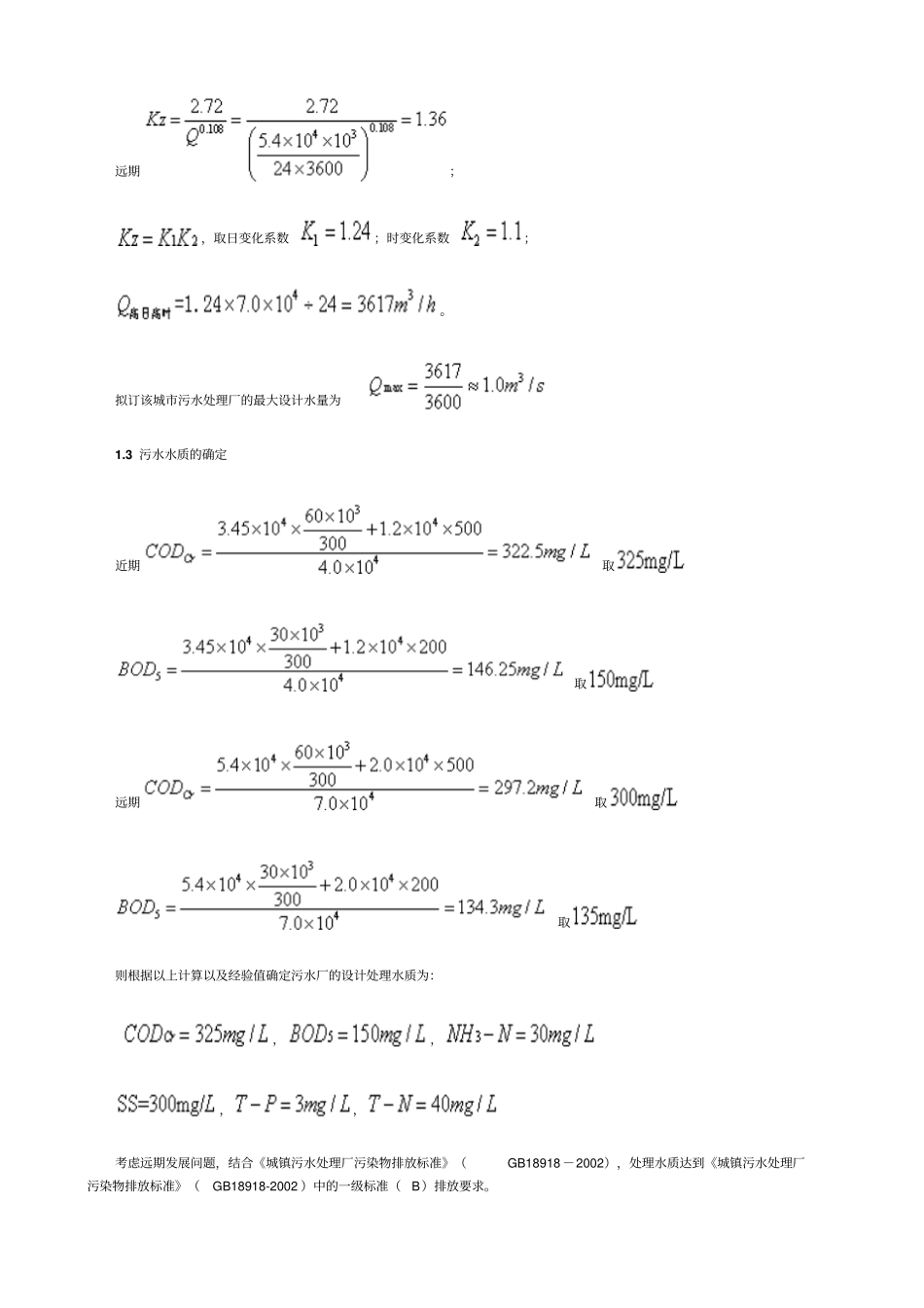
某污水处理厂设计说明书1.1计算依据1、工程概况该城市污水处理厂服务面积为12.00km2,近期(2000年)规划人口10万人,远期(2020年)规划人口15.0万人。2、水质计算依据A.根据《室外排水设计规范》,生活污水水质指标为:CODCr60g/人dBOD530g/人dB.工业污染源,拟定为CODCr500mg/LBOD5200mg/LC.氨氮根据经验值确定为30mg/L3、水量数据计算依据:A.生活污水按人均生活污水排放量300L/人·d;B.生产废水量近期1.2×104m3/d,远期2.0×104m3/d考虑;C.公用建筑废水量排放系数近期按0.15,远期0.20考虑;D.处理厂处理系数按近期0.80,远期0.90考虑。4、出水水质根据该厂城镇环保规划,污水处理厂出水进入水体水质按照国家三类水体标准控制,同时执行国家关于污水排放的规范和标准,拟定出水水质指标为:CODCr100mg/LBOD530mg/LSS30mg/LNH3-N10mg/L1.2污水量的确定1、综合生活污水近期综合生活污水远期综合生活污水2、工业污水近期工业污水远期工业污水3、进水口混合污水量处理厂处理系数按近期0.80,远期0.90考虑,由于工业废水必须完全去除,所以不考虑其处理系数。近期混合总污水量取远期混合总污水量取4、污水厂最大设计水量的计算近期;,取日变化系数;时变化系数;。远期;,取日变化系数;时变化系数;。拟订该城市污水处理厂的最大设计水量为1.3污水水质的确定近期取取远期取取则根据以上计算以及经验值确定污水厂的设计处理水质为:,,,,考虑远期发展问题,结合《城镇污水处理厂污染物排放标准》(GB18918-2002),处理水质达到《城镇污水处理厂污染物排放标准》(GB18918-2002)中的一级标准(B)排放要求。拟定出水水质指标为:表1-1进出水水质一览表序号基本控制项目一级标准(B)进水水质去除率1COD8032575.4%2BOD2015086.7%3SS2030093.3%4氨氮8[1]3073.3%5T-N204050%6T-P1.5350%7pH6~97~8注:[1]取水温>12℃的控制指标8,水温≤12℃的控制指标15。[2]基本控制项目单位为mg/L,PH除外。第二章各单体构筑物计算2.1粗格栅设计1、设计参数设计流量,栅前水深,过栅流速,栅条间隙,栅前长度,栅后长度,格栅倾角,栅条宽度,栅前渠超高。2、设计计算图2-1粗格栅计算示意图格栅设两组,按两组同时工作设计,一格停用,一格工作校核。(1)栅条间隙数:取(2)栅槽宽度格栅宽度一般比格栅宽0.2~0.3m,取0.2;则(3)通过栅头的水头损失(4)栅后槽总高度:(5)栅前渠道深:(6)栅槽总长度:(7)每日栅渣量:式中,为栅渣量,格栅间隙为16~25mm时,污水。本工程格栅间隙为20mm,取污水。采用机械清渣。2.2集水池提升泵房设计设计流量,考虑取用5台潜水排污泵(四用一备),则每台泵流量为。集水池容积采用相当于一台泵的15min流量,即:2.3细格栅设计1、设计参数设计流量,栅前水深,过栅流速,栅条间隙,栅前长度,栅后长度,格栅倾角,栅条宽度,栅前渠超高。2、设计计算图2-2细格栅计算示意图格栅设两组,按两组同时工作设计,一格停用,一格工作校核。(1)栅条间隙数:取(2)栅槽宽度:(3)通过栅头的水头损失(4)栅后槽总高度:(5)栅前渠道深:(6)栅槽总长度:(7)每日栅渣量:式中,为栅渣量,对于栅条间距b=10mm的细格栅,对于城市污水,每单位体积污水拦截栅渣量为污水。采用机械清渣。2.4平流式沉砂池设计1、设计参数最大设计流量时的流速,最大设计流量时的流行时间,设计流量,城市污水沉砂量污水。2、设计计算图2-3平流式沉砂池计算示意图沉砂池设两座,每座取2格,每格宽。(1)沉砂池长度;(2)水流断面面积;(3)池总宽;(4)有效水深;(5)沉砂斗容积式中,T为清除沉砂的时间间隔,取2d。(6)每个沉砂斗的容积;(设每一个分格有2个沉砂斗,有4个分格。)沉砂斗上口宽;式中,斗高取;斗底宽取;斗壁与水平面的倾角去。沉砂斗容积;(7)沉砂室高度式中,;池底坡度去0.06;两个沉砂斗之间隔壁厚取0.2。(8)沉砂池总高度;式中,超高。(9)验算最小流速。2.5卡鲁塞尔氧化沟设计1、设计参数活性污泥浓度,则,异养微生物的产率系数,异养微生物内源衰减系数,污泥回流比R=100%,设计流量。2、设计计算氧化沟设四座,按四组同...

1、当您付费下载文档后,您只拥有了使用权限,并不意味着购买了版权,文档只能用于自身使用,不得用于其他商业用途(如 [转卖]进行直接盈利或[编辑后售卖]进行间接盈利)。
2、本站所有内容均由合作方或网友上传,本站不对文档的完整性、权威性及其观点立场正确性做任何保证或承诺!文档内容仅供研究参考,付费前请自行鉴别。
3、如文档内容存在违规,或者侵犯商业秘密、侵犯著作权等,请点击“违规举报”。

碎片内容

污水处理厂设计计算

您可能关注的文档

确认删除?
VIP
微信客服
  • 扫码咨询
会员Q群
  • 会员专属群点击这里加入QQ群
客服邮箱
回到顶部