电脑桌面
添加小米粒文库到电脑桌面
安装后可以在桌面快捷访问

流体流动与机械习题课VIP免费

流体流动与机械习题课_第1页
1/8
流体流动与机械习题课_第2页
2/8
流体流动与机械习题课_第3页
3/8
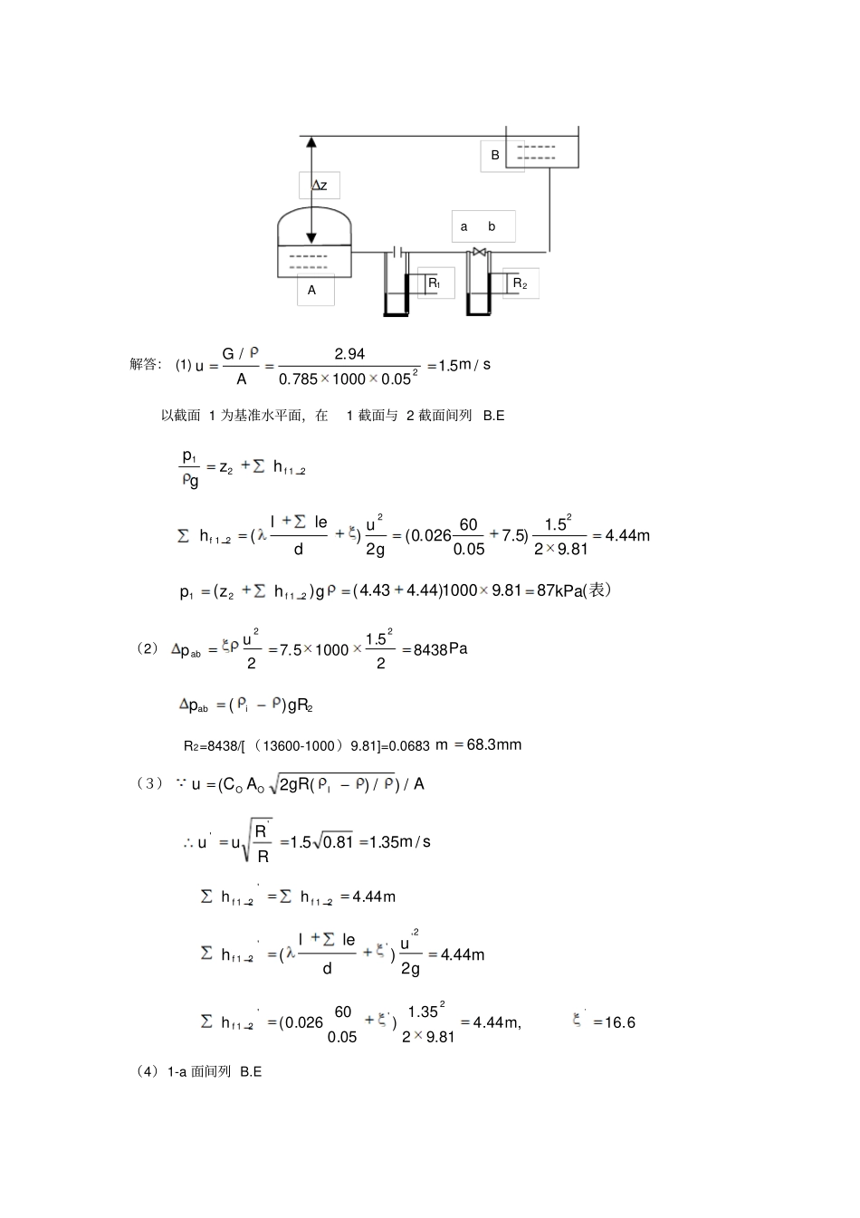
流体流动与输送机械习题课一、书1-30某工业燃烧炉产生的烟气由烟囱排入大气。烟囱的直径为2m,相对粗糙度为0.0004。烟气在烟囱内的平均温度为200℃,此温度下烟气的密度为0.67kg/m3,黏度0.026mP·s,烟气流量80000m3/h。在烟囱高度范围内,外界大气的平均密度1.15kg/m3,烟囱内底部的压强低于地面大气压0.2kPa,(1)求此烟囱应有多少高度?(2)试讨论用烟囱排气的必要条件是什么?(3)提高吸气量,在设计上应采取什么措施?答案见陈敏恒习题答案。二、化工原理习题指导书p451-51用压缩空气将密度为1200kg/m3的碱液自低位槽送至高位槽,两槽的液面维持恒定。管子规格为φ60×3.5mm,各管段的能量损失分别为ABfW,2,uWCDf,2,5.1uWBCf(J/kg)(u为碱液在管内的流速)。两U形压差计中的指示液均为水银,R1=60mm,h=100mm。试求(1)压缩空气的压力p1;(2)U形压差计读数R2。解:(1)201,5.1)(ugRWBCf05412005112001360081906051012..)(...)(gRusmu/01.2在低位槽1与高位槽2间列柏努利方程21222212112121fWpugzpugz86.13101.25.381.9125.1222222121uuugzWgzpfkPap2.1581(表压)附图4m12m(2)在低位槽1与B处3间列柏努利方程31323312112121fWpugzpugz232231,231301.22381.941200102.1582121uugzpWugzppABfkPa.p81033(表压)由静力学方程203gRpghpam.....gghppRa780819136001081912001081033032三.如图示常温水由加压贮槽A以2.94kg/s的质量流量流向敞口高位槽B,两槽液面恒定,液面间距为4.43m,管路中装有孔板流量计和一个截止阀,已知管道为57×3.5mm的钢管,直管与局部阻力的当量长度(不包括截止阀)总和为60m,截止阀在此开度时的局部阻力系数=7.5。设系统为完全湍流,管路摩擦系数为0.026,已知汞的密度为13600kg/m3,水的密度为1000kg/m3。求:(1)加压贮槽A液面上方所需表压为多少kPa?(2)阀门前后的压强差)(Papab及汞柱压差计的读数R2(mm);(3)若将阀门关小,现读得孔板流量计的读数R1为原来的0.81倍,设系统仍为完全湍流,近似不变,孔板流量计的孔流系数不变,求流速为原来的多少倍?截止阀阻力系数变为多少?(4)定性分析阀门前a点的压强如何变化?(给出结论及分析过程)R1R2ABabz解答:(1)smAGu/5.105.01000785.094.2/2以截面1为基准水平面,在1截面与2截面间列B.E2121fhzgpmgudlelhf44.481.925.1)5.705.060026.0(2)(2221表)(8781.91000)44.443.4()(2121kPaghzpf(2)Pau843825.110005.72p22ab2)(gRpiabR2=8438/[(13600-1000)9.81]=0.0683mmm3.68(3)AgRACuIOO/)/)(2(smRRuu/35.181.05.1''mhhff44.421'21mgudlelhf44.42)(2'''216.16,44.481.9235.1)05.060026.0('2''21mhf(4)1-a面间列B.Eafahpugzgza1212由上计算知:关小阀门后,流速减少,a1pafh四、某型号的离心泵,在一定的转速下,在输送范围内,其压头与流量的关系可用H=18-6×105Q2(H单位为m,Q单位为m3/s)来表示。用该泵从贮槽将水送至高位槽,如附图所示。两槽均为敞口,且水面维持恒定。管路系统的总长为20m(包括所有局部阻力的当量长度),管子的规格46×3mm,摩擦系数可取为0.02,试计算:(1)输水量m3/h;(2)若泵的效率为65%,水的密度为1000kg/m3,离心泵在运转时的轴功率KW;(3)若将输送系统的高位槽改为密闭容器,其内水面上方的压强为0.5kgf/cm2(表压),其它条件均不变,试分析此情况下的输水量与泵的轴功率将如何变化(不必计算,用公式与特性曲线图示说明)解答:223m11五、化工原理习题指导书p461-59如附图所示,高位槽中水分别从BC与BD两支路排出,其中水面维持恒定。高位槽液面与两支管出口间的距离为10m。AB管段的内径为38mm、长为28m;BC与BD支管的内径相同,均为32mm,长度分别为12m、15m(以上各长度均包括管件及阀门全开时的当量长度)。各段摩擦系数均可取为0.03。试求:(1)BC支路阀门全关而BD支路阀门全开时的流量;(2)BC支路与BD支路阀门均全开时各支路的流量及总流量。解:(1)在高位槽液面与BD管出口外侧列柏努利方程:fWugzpugzp222221112121简化:fABDWzg而22222211udludlWWWBDABfBDfABfABD2032.01503.02038.02803.081.9102221uu化简1.9803.705.11...

1、当您付费下载文档后,您只拥有了使用权限,并不意味着购买了版权,文档只能用于自身使用,不得用于其他商业用途(如 [转卖]进行直接盈利或[编辑后售卖]进行间接盈利)。
2、本站所有内容均由合作方或网友上传,本站不对文档的完整性、权威性及其观点立场正确性做任何保证或承诺!文档内容仅供研究参考,付费前请自行鉴别。
3、如文档内容存在违规,或者侵犯商业秘密、侵犯著作权等,请点击“违规举报”。

碎片内容

流体流动与机械习题课

您可能关注的文档

确认删除?
VIP
微信客服
  • 扫码咨询
会员Q群
  • 会员专属群点击这里加入QQ群
客服邮箱
回到顶部